🇳🇴 🇬🇧 🇩🇪 🇨🇿 🇫🇮

Meteor, poloha: Setermoen 2023-12-14 23:34:44 UTC

Soubor KML  |  InteraktivnĂ­ mapa

Mapa zobrazuje dráhy meteoru. Světlejší čáry ukazují směry od pozorovacích stanic při objevení se meteoru a tmavší čáry, kde byl naposledy viděn. Modrá šipka značí viditelnou dráhu meteoru.

static map
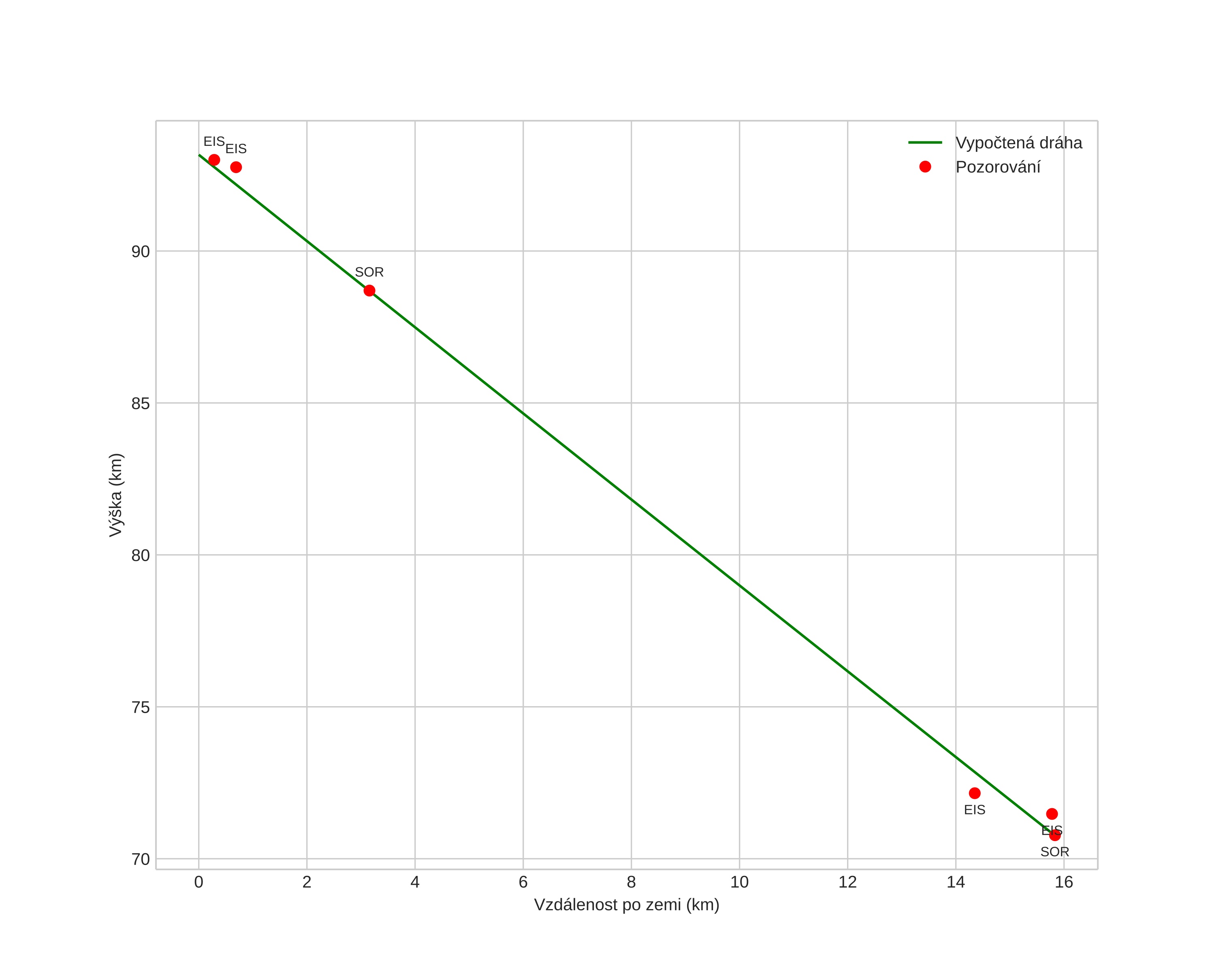
height profile
Atmosférická dráha meteoru:
Počáteční výška: 96,0 km
Konečná výška: 71,0 km
Počáteční poloha: 67,942N 18,705E
Konečná poloha: 68,099N 18,523E
Směr: 336,6°
Sklon: 52,7°
VstupnĂ­ rychlost: 37,4 km/s
Rektascenze radiantu: 07:26 (111,6°)
Deklinace radiantu: 31,0°
MeteorickĂ˝ roj: Geminidy
Elementy dráhy meteoroidu:
Vzdálenost v periheliu: 0,141 AU
Excentricita: 0,914
Sklon dráhy: 20,8°
Délka vzestupného uzlu: 262,4°
Argument perihelia: 322,7°
Střední anomálie: 342,9°
Epocha: 2023 DEC 14 23:34:44
orbit plot

NeinteraktivnĂ­ graf | InteraktivnĂ­ graf

position vs time
speed and acceleration