🇳🇴 🇬🇧 🇩🇪 🇨🇿 🇫🇮

Meteor Setermoenin yllä 2023-12-14 23:34:44 UTC

KML-tiedosto  |  Interaktiivinen kartta

Kartta näyttää meteorin suuntahavainnot. Vaaleammat viivat näyttävät suunnat havaintoasemilta meteorin ilmestyessä, ja tummemmat viivat näyttävät, missä se viimeksi nähtiin. Sininen nuoli näyttää meteorin näkyvän lennon.

static map
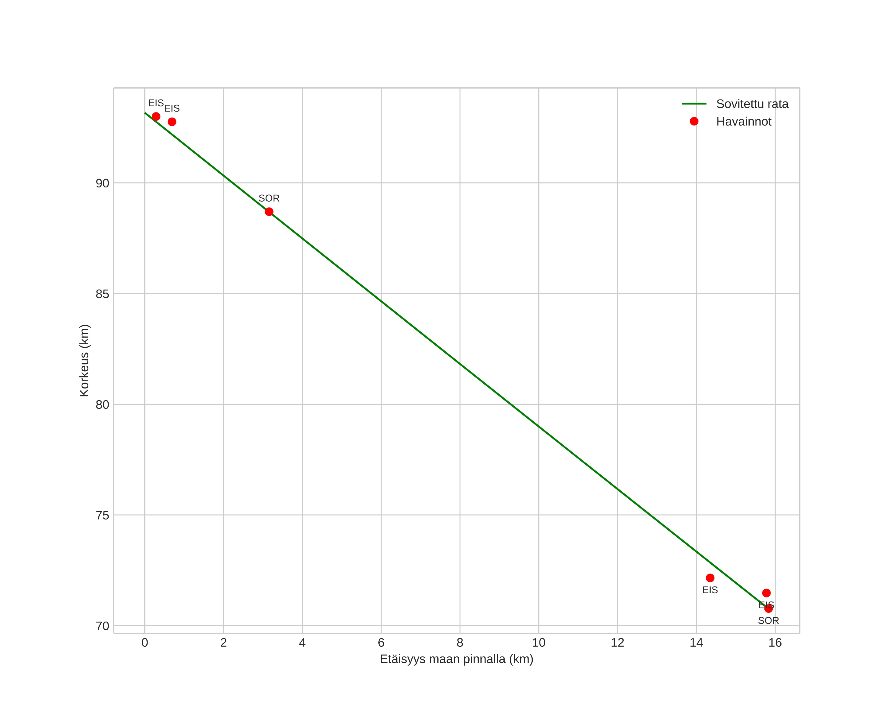
height profile
Meteorin ilmakehärata:
Alkukorkeus: 96,0 km
Loppukorkeus: 71,0 km
Alkupiste: 67,942N 18,705E
Loppupiste: 68,099N 18,523E
Suunta: 336,6°
Kallistuskulma: 52,7°
Tulonopeus: 37,4 km/s
Radiantin R,A,: 07:26 (111,6°)
Radiantin Dekl,: 31,0°
Meteoriparvi: Geminidit
Meteoroidin rataelementit:
Perihelietäisyys: 0,141 AU
Eksentrisyys: 0,914
Inklinaatio: 20,8°
Nousevan solmun pituus: 262,4°
Perihelin argumentti: 322,7°
Keskianomalia: 342,9°
Epookki: 2023 DEC 14 23:34:44
orbit plot

Ei-interaktiivinen kuvaaja | Interaktiivinen kuvaaja

position vs time
speed and acceleration