🇳🇴 🇬🇧 🇩🇪 🇨🇿 🇫🇮

Meteor über Evjen 2023-12-14 23:37:06 UTC

KML-Datei  |  Interaktive Karte

Die Karte zeigt die Peilungen für den Meteor. Die helleren Linien zeigen die Richtungen von den Beobachtungsorten beim Erscheinen des Meteors, und die dunkleren Linien, wo er zuletzt gesehen wurde. Der blaue Pfeil zeigt die sichtbare Bahn des Meteors.

static map
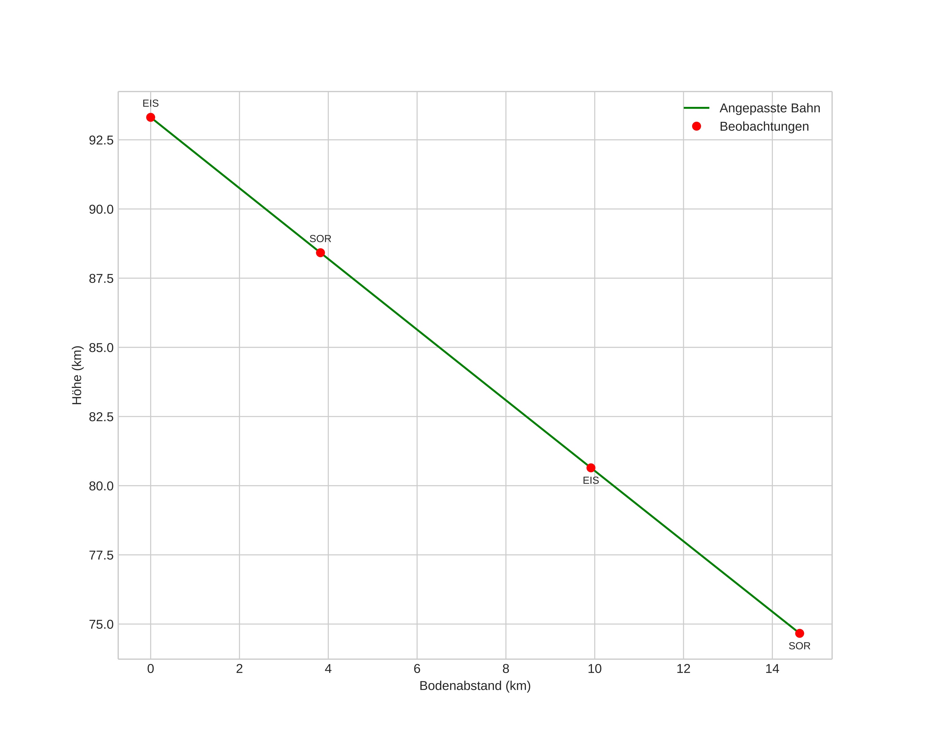
height profile
Atmosphärische Bahn des Meteors:
Anfangshöhe: 92,7 km
Endhöhe: 74,4 km
Startposition: 69,424N 13,357E
Endposition: 69,527N 13,193E
Richtung: 331,1°
Neigungswinkel: 54,2°
Eintrittsgeschwindigkeit: 34,6 km/s
Rektaszension des Radianten: 07:22 (110,7°)
Deklination des Radianten: 34,5°
Meteorstrom: Geminiden
Bahnelemente des Meteoroiden:
Periheldistanz: 0,193 AU
Exzentrizität: 0,864
Inklination: 22,6°
Länge des aufsteigenden Knotens: 262,4°
Argument des Perihels: 317,2°
Mittlere Anomalie: 337,2°
Epoche: 2023 DEC 14 23:37:06
orbit plot

Nicht-interaktives Diagramm | Interaktives Diagramm

position vs time
speed and acceleration