🇳🇴 🇬🇧 🇩🇪 🇨🇿 🇫🇮

Meteor Evjenin yllä 2023-12-14 23:37:06 UTC

KML-tiedosto  |  Interaktiivinen kartta

Kartta näyttää meteorin suuntahavainnot. Vaaleammat viivat näyttävät suunnat havaintoasemilta meteorin ilmestyessä, ja tummemmat viivat näyttävät, missä se viimeksi nähtiin. Sininen nuoli näyttää meteorin näkyvän lennon.

static map
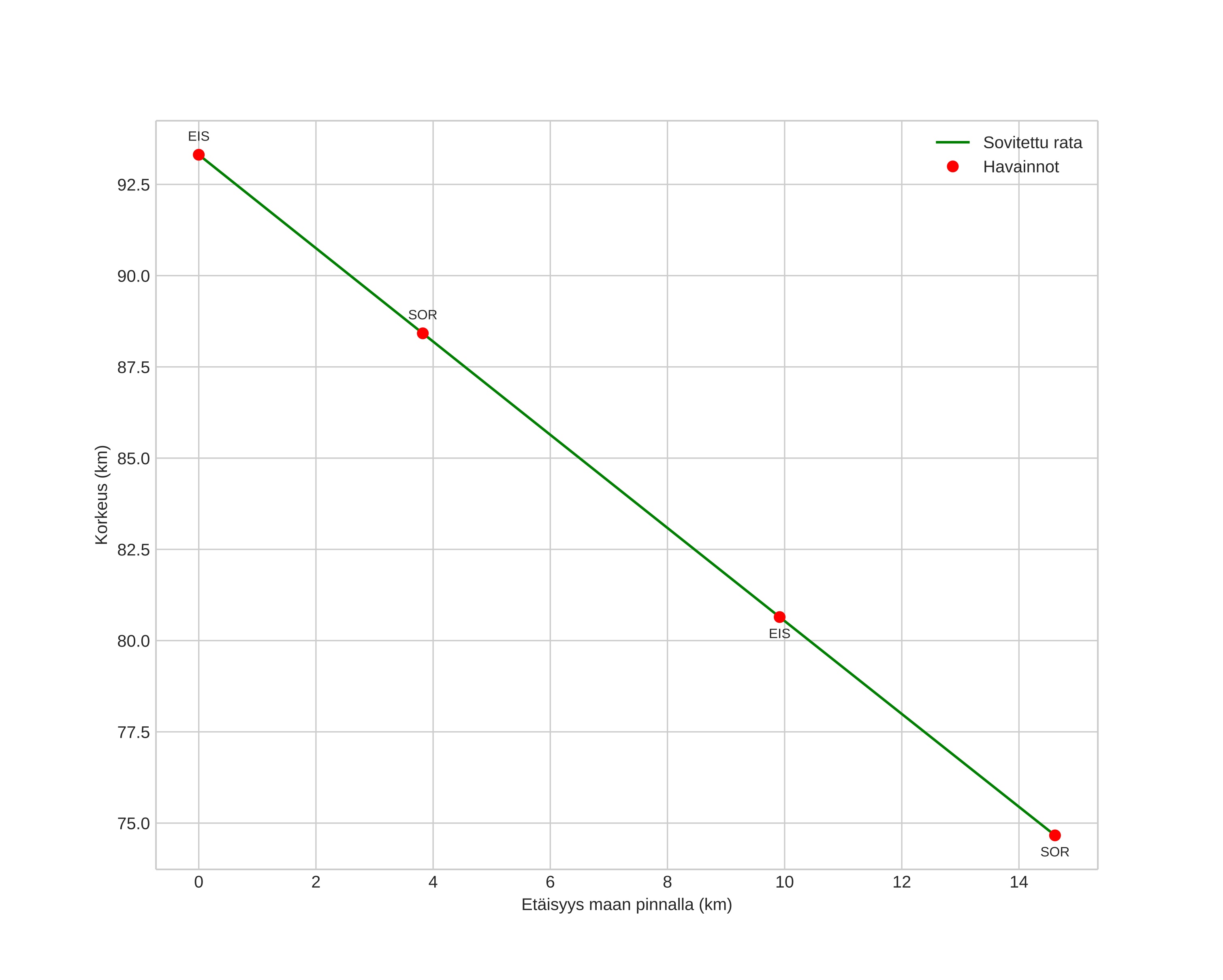
height profile
Meteorin ilmakehärata:
Alkukorkeus: 92,7 km
Loppukorkeus: 74,4 km
Alkupiste: 69,424N 13,357E
Loppupiste: 69,527N 13,193E
Suunta: 331,1°
Kallistuskulma: 54,2°
Tulonopeus: 34,6 km/s
Radiantin R,A,: 07:22 (110,7°)
Radiantin Dekl,: 34,5°
Meteoriparvi: Geminidit
Meteoroidin rataelementit:
Perihelietäisyys: 0,193 AU
Eksentrisyys: 0,864
Inklinaatio: 22,6°
Nousevan solmun pituus: 262,4°
Perihelin argumentti: 317,2°
Keskianomalia: 337,2°
Epookki: 2023 DEC 14 23:37:06
orbit plot

Ei-interaktiivinen kuvaaja | Interaktiivinen kuvaaja

position vs time
speed and acceleration