🇳🇴 🇬🇧 🇩🇪 🇨🇿 🇫🇮

Meteor, poloha: Olderdalen 2023-12-14 23:45:18 UTC

Soubor KML  |  InteraktivnĂ­ mapa

Mapa zobrazuje dráhy meteoru. Světlejší čáry ukazují směry od pozorovacích stanic při objevení se meteoru a tmavší čáry, kde byl naposledy viděn. Modrá šipka značí viditelnou dráhu meteoru.

static map
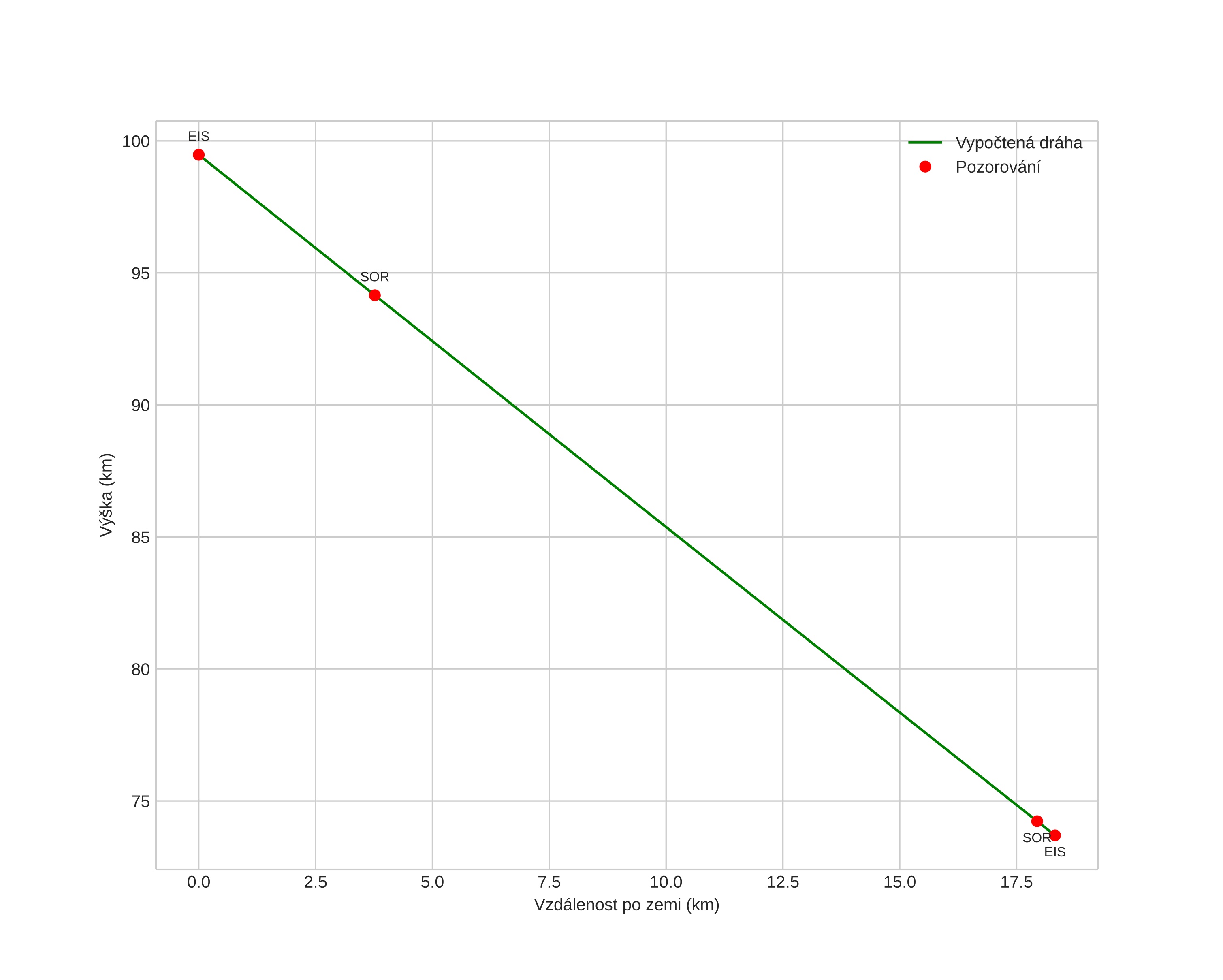
height profile
Atmosférická dráha meteoru:
Počáteční výška: 99,0 km
Konečná výška: 72,7 km
Počáteční poloha: 68,447N 21,268E
Konečná poloha: 68,609N 21,105E
Směr: 340,0°
Sklon: 53,8°
VstupnĂ­ rychlost: 36,4 km/s
Rektascenze radiantu: 07:37 (114,3°)
Deklinace radiantu: 32,3°
MeteorickĂ˝ roj: Geminidy
Elementy dráhy meteoroidu:
Vzdálenost v periheliu: 0,137 AU
Excentricita: 0,899
Sklon dráhy: 24,3°
Délka vzestupného uzlu: 262,4°
Argument perihelia: 324,9°
Střední anomálie: 336,8°
Epocha: 2023 DEC 14 23:45:18
orbit plot

NeinteraktivnĂ­ graf | InteraktivnĂ­ graf

position vs time
speed and acceleration