🇳🇴 🇬🇧 🇩🇪 🇨🇿 🇫🇮

Meteor Olderdalenin yllä 2023-12-14 23:45:18 UTC

KML-tiedosto  |  Interaktiivinen kartta

Kartta näyttää meteorin suuntahavainnot. Vaaleammat viivat näyttävät suunnat havaintoasemilta meteorin ilmestyessä, ja tummemmat viivat näyttävät, missä se viimeksi nähtiin. Sininen nuoli näyttää meteorin näkyvän lennon.

static map
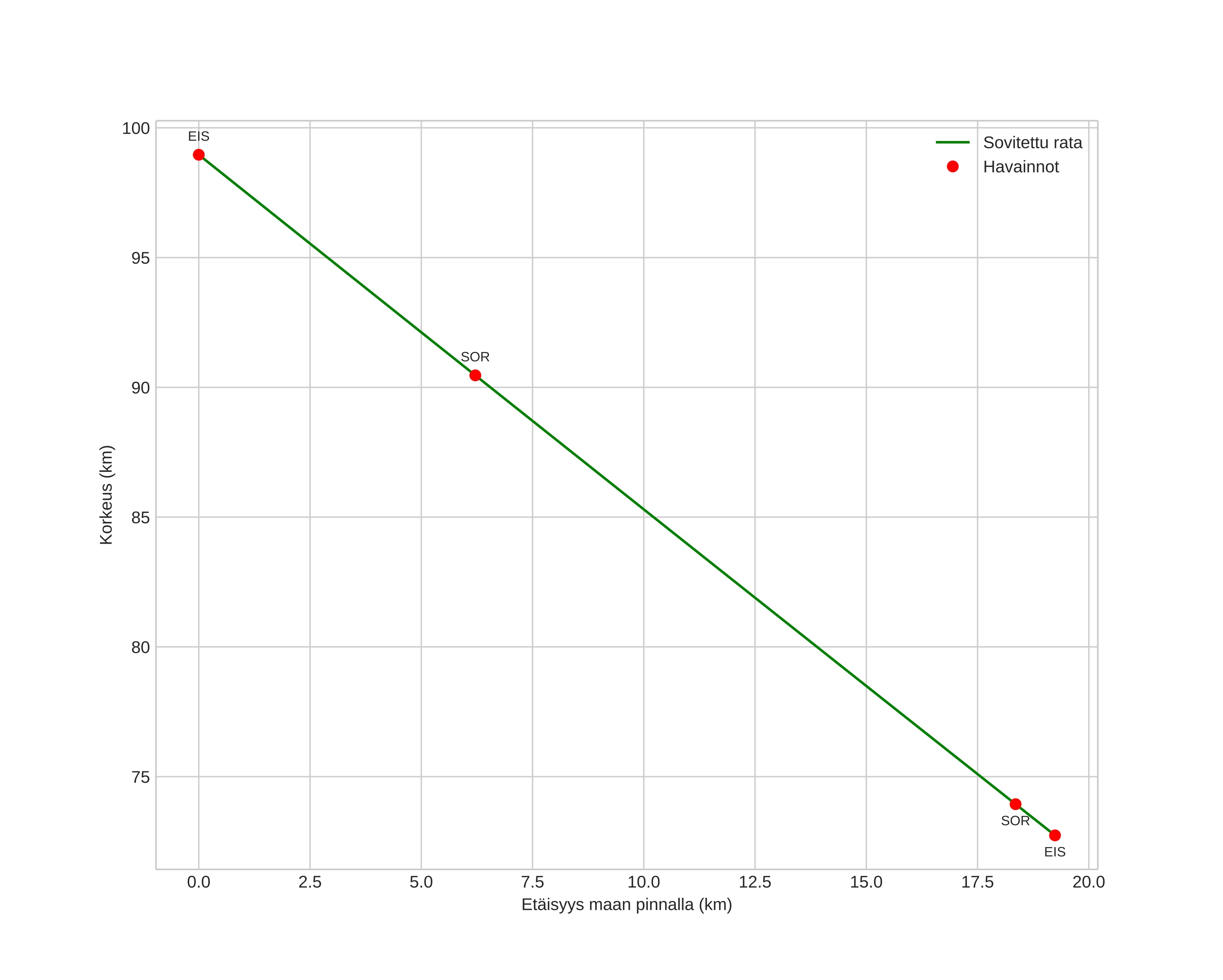
height profile
Meteorin ilmakehärata:
Alkukorkeus: 99,0 km
Loppukorkeus: 72,7 km
Alkupiste: 68,447N 21,268E
Loppupiste: 68,609N 21,105E
Suunta: 340,0°
Kallistuskulma: 53,8°
Tulonopeus: 36,4 km/s
Radiantin R,A,: 07:37 (114,3°)
Radiantin Dekl,: 32,3°
Meteoriparvi: Geminidit
Meteoroidin rataelementit:
Perihelietäisyys: 0,137 AU
Eksentrisyys: 0,899
Inklinaatio: 24,3°
Nousevan solmun pituus: 262,4°
Perihelin argumentti: 324,9°
Keskianomalia: 336,8°
Epookki: 2023 DEC 14 23:45:18
orbit plot

Ei-interaktiivinen kuvaaja | Interaktiivinen kuvaaja

position vs time
speed and acceleration