🇳🇴 🇬🇧 🇩🇪 🇨🇿 🇫🇮

Meteor, poloha: Narvik 2023-12-14 23:56:38 UTC

Soubor KML  |  InteraktivnĂ­ mapa

Mapa zobrazuje dráhy meteoru. Světlejší čáry ukazují směry od pozorovacích stanic při objevení se meteoru a tmavší čáry, kde byl naposledy viděn. Modrá šipka značí viditelnou dráhu meteoru.

static map
height profile
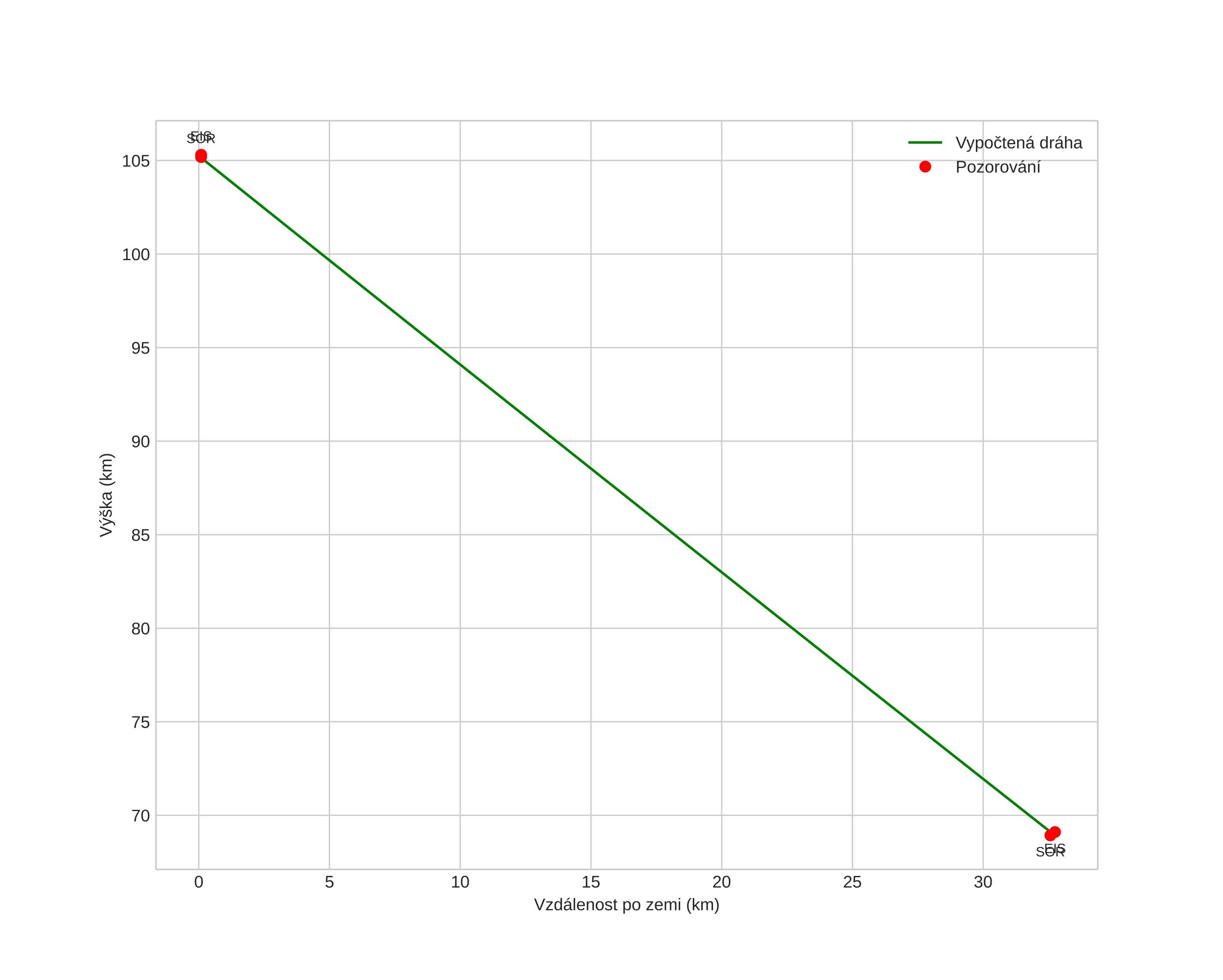
Atmosférická dráha meteoru:
Počáteční výška: 105,1 km
Konečná výška: 67,4 km
Počáteční poloha: 67,791N 17,208E
Konečná poloha: 68,101N 17,160E
Směr: 356,7°
Sklon: 47,5°
VstupnĂ­ rychlost: 59,5 km/s
Rektascenze radiantu: 06:46 (101,6°)
Deklinace radiantu: 24,8°
MeteorickĂ˝ roj: sporadickĂ˝
Elementy dráhy meteoroidu:
Vzdálenost v periheliu: 0,077 AU
Excentricita: 1,126
Sklon dráhy: 8,7°
Délka vzestupného uzlu: 262,4°
Argument perihelia: 317,7°
Střední anomálie: -49,9°
Epocha: 2023 DEC 14 23:56:38
orbit plot

NeinteraktivnĂ­ graf | InteraktivnĂ­ graf

position vs time
speed and acceleration