🇳🇴 🇬🇧 🇩🇪 🇨🇿 🇫🇮

Meteor Narvikin yllä 2023-12-14 23:56:38 UTC

KML-tiedosto  |  Interaktiivinen kartta

Kartta näyttää meteorin suuntahavainnot. Vaaleammat viivat näyttävät suunnat havaintoasemilta meteorin ilmestyessä, ja tummemmat viivat näyttävät, missä se viimeksi nähtiin. Sininen nuoli näyttää meteorin näkyvän lennon.

static map
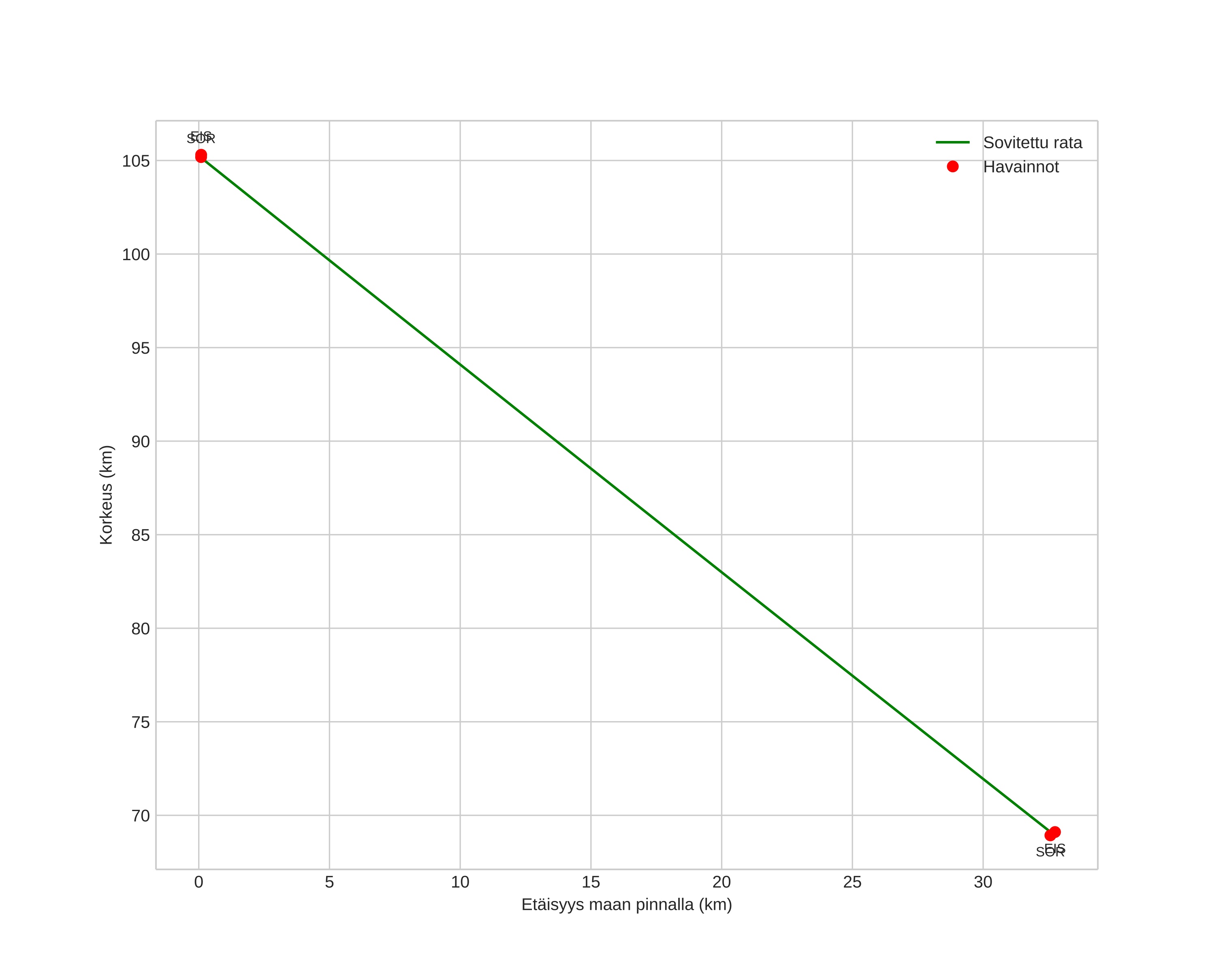
height profile
Meteorin ilmakehärata:
Alkukorkeus: 105,1 km
Loppukorkeus: 67,4 km
Alkupiste: 67,791N 17,208E
Loppupiste: 68,101N 17,160E
Suunta: 356,7°
Kallistuskulma: 47,5°
Tulonopeus: 59,5 km/s
Radiantin R,A,: 06:46 (101,6°)
Radiantin Dekl,: 24,8°
Meteoriparvi: Sporadinen
Meteoroidin rataelementit:
Perihelietäisyys: 0,077 AU
Eksentrisyys: 1,126
Inklinaatio: 8,7°
Nousevan solmun pituus: 262,4°
Perihelin argumentti: 317,7°
Keskianomalia: -49,9°
Epookki: 2023 DEC 14 23:56:38
orbit plot

Ei-interaktiivinen kuvaaja | Interaktiivinen kuvaaja

position vs time
speed and acceleration