🇳🇴 🇬🇧 🇩🇪 🇨🇿 🇫🇮

Meteor, poloha: Andenes 2023-12-15 00:29:06 UTC

Soubor KML  |  InteraktivnĂ­ mapa

Mapa zobrazuje dráhy meteoru. Světlejší čáry ukazují směry od pozorovacích stanic při objevení se meteoru a tmavší čáry, kde byl naposledy viděn. Modrá šipka značí viditelnou dráhu meteoru.

static map
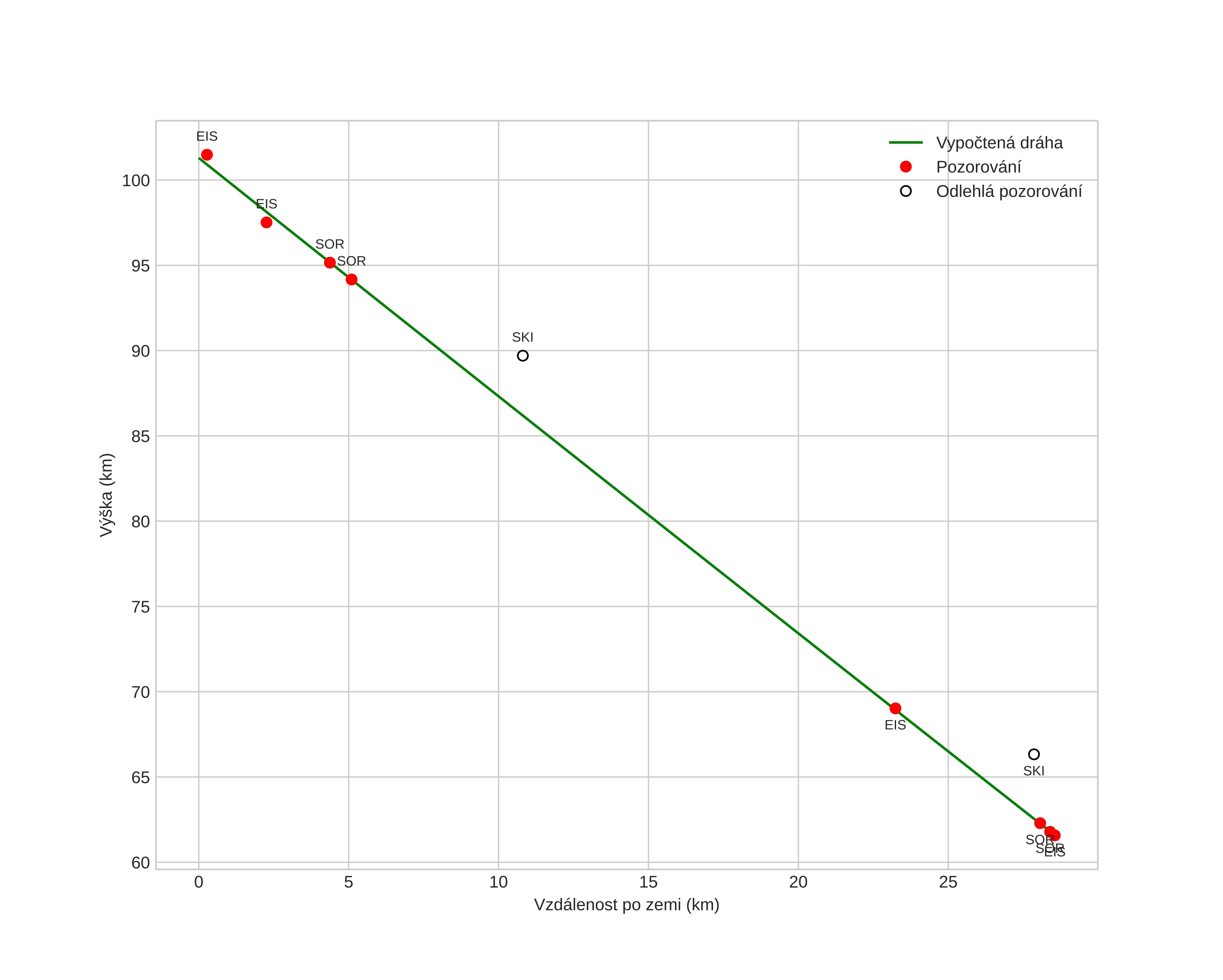
height profile
Atmosférická dráha meteoru:
Počáteční výška: 100,8 km
Konečná výška: 61,3 km
Počáteční poloha: 69,152N 16,138E
Konečná poloha: 69,403N 15,991E
Směr: 348,4°
Sklon: 54,2°
VstupnĂ­ rychlost: 35,9 km/s
Rektascenze radiantu: 07:36 (114,2°)
Deklinace radiantu: 32,7°
MeteorickĂ˝ roj: Geminidy
Elementy dráhy meteoroidu:
Vzdálenost v periheliu: 0,145 AU
Excentricita: 0,891
Sklon dráhy: 24,2°
Délka vzestupného uzlu: 262,4°
Argument perihelia: 324,1°
Střední anomálie: 335,7°
Epocha: 2023 DEC 15 00:29:06
orbit plot

NeinteraktivnĂ­ graf | InteraktivnĂ­ graf

position vs time
speed and acceleration