🇳🇴 🇬🇧 🇩🇪 🇨🇿 🇫🇮

Meteor über Andenes 2023-12-15 00:29:06 UTC

KML-Datei  |  Interaktive Karte

Die Karte zeigt die Peilungen für den Meteor. Die helleren Linien zeigen die Richtungen von den Beobachtungsorten beim Erscheinen des Meteors, und die dunkleren Linien, wo er zuletzt gesehen wurde. Der blaue Pfeil zeigt die sichtbare Bahn des Meteors.

static map
height profile
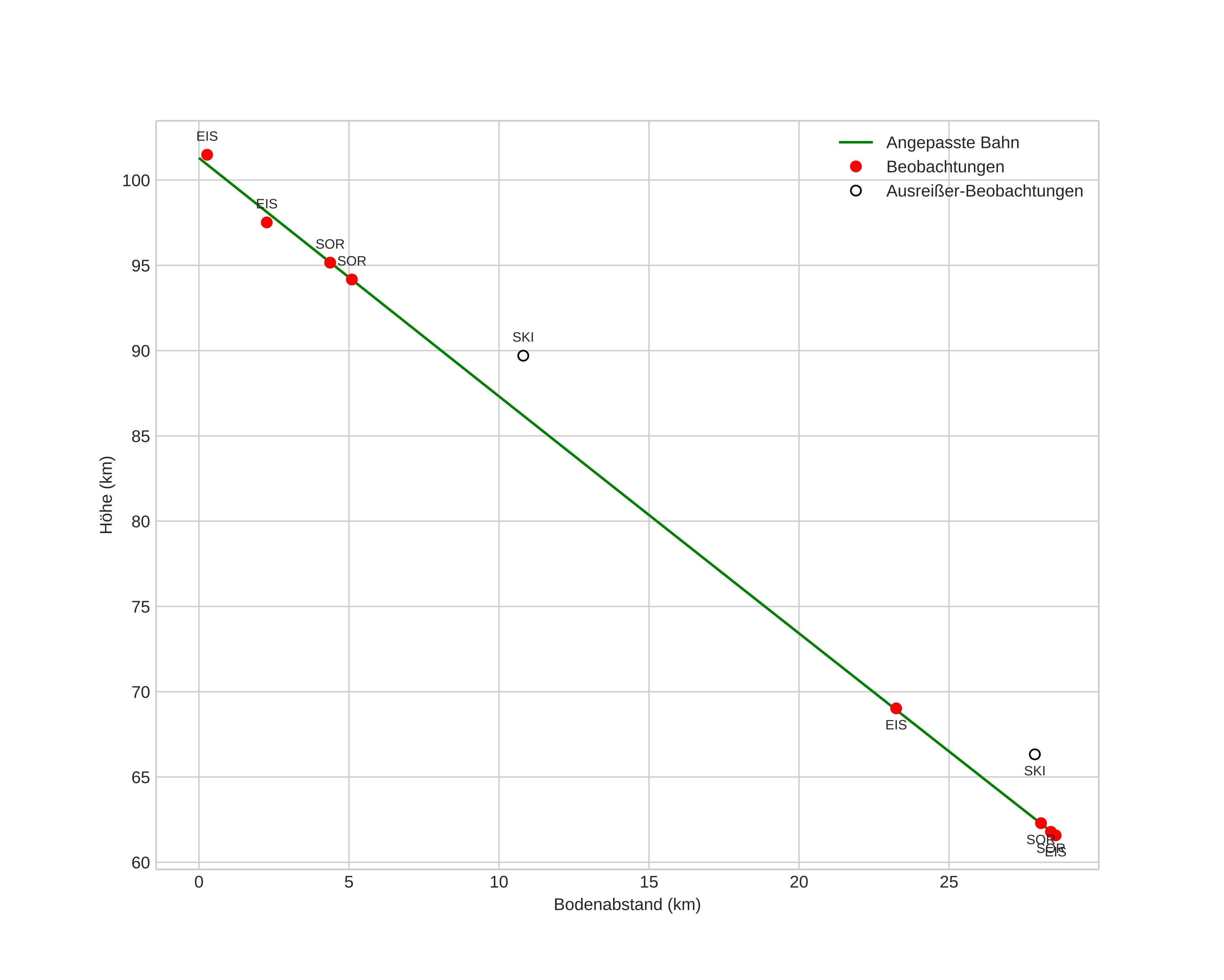
Atmosphärische Bahn des Meteors:
Anfangshöhe: 100,8 km
Endhöhe: 61,3 km
Startposition: 69,152N 16,138E
Endposition: 69,403N 15,991E
Richtung: 348,4°
Neigungswinkel: 54,2°
Eintrittsgeschwindigkeit: 35,9 km/s
Rektaszension des Radianten: 07:36 (114,2°)
Deklination des Radianten: 32,7°
Meteorstrom: Geminiden
Bahnelemente des Meteoroiden:
Periheldistanz: 0,145 AU
Exzentrizität: 0,891
Inklination: 24,2°
Länge des aufsteigenden Knotens: 262,4°
Argument des Perihels: 324,1°
Mittlere Anomalie: 335,7°
Epoche: 2023 DEC 15 00:29:06
orbit plot

Nicht-interaktives Diagramm | Interaktives Diagramm

position vs time
speed and acceleration