🇳🇴 🇬🇧 🇩🇪 🇨🇿 🇫🇮

Meteor, poloha: Storsteinnes 2023-12-15 00:50:45 UTC

Soubor KML  |  InteraktivnĂ­ mapa

Mapa zobrazuje dráhy meteoru. Světlejší čáry ukazují směry od pozorovacích stanic při objevení se meteoru a tmavší čáry, kde byl naposledy viděn. Modrá šipka značí viditelnou dráhu meteoru.

static map
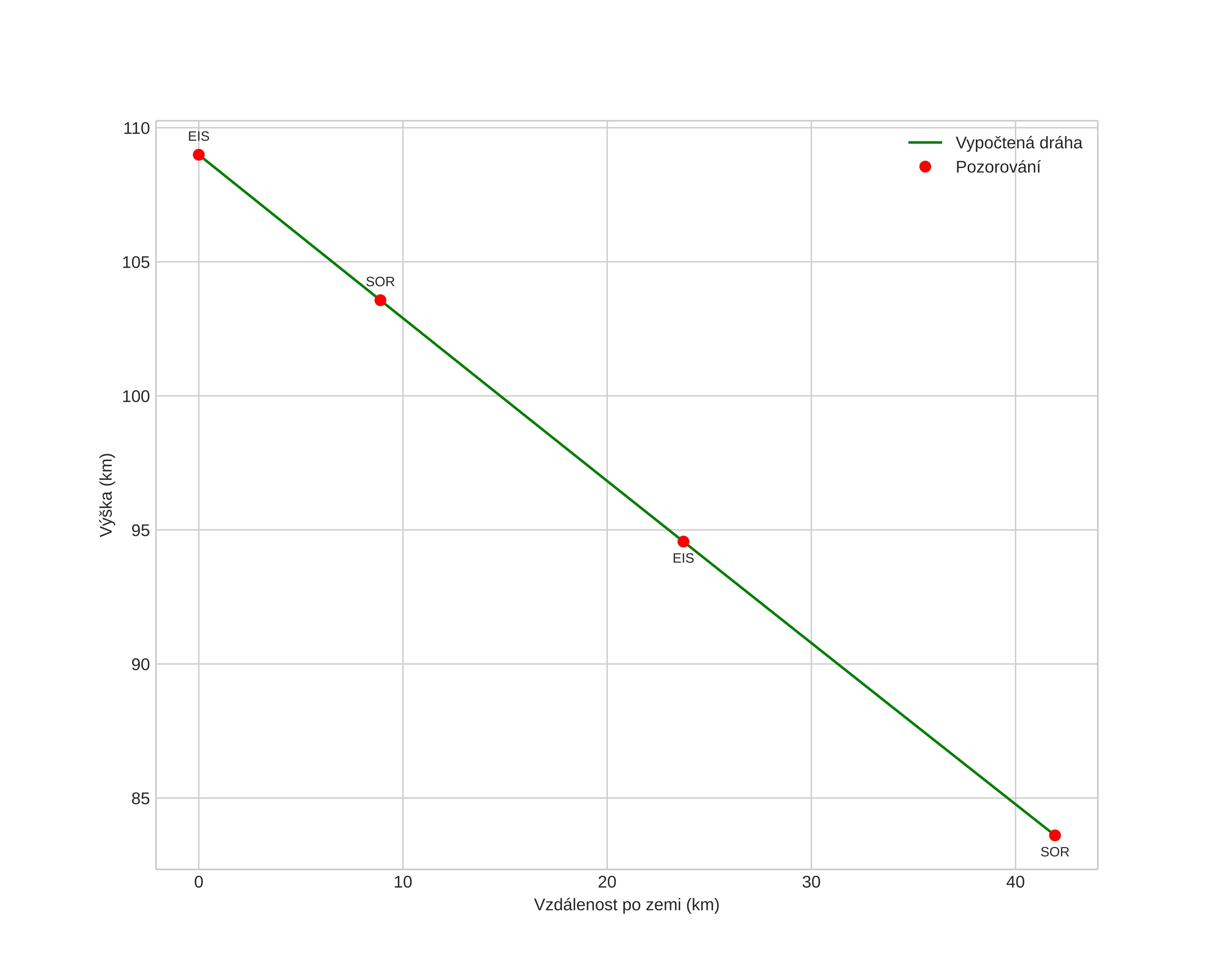
height profile
Atmosférická dráha meteoru:
Počáteční výška: 106,5 km
Konečná výška: 83,9 km
Počáteční poloha: 68,055N 19,041E
Konečná poloha: 68,386N 19,237E
Směr: 12,3°
Sklon: 30,9°
VstupnĂ­ rychlost: 52,8 km/s
Rektascenze radiantu: 06:55 (103,9°)
Deklinace radiantu: 8,7°
MeteorickĂ˝ roj: sporadickĂ˝
Elementy dráhy meteoroidu:
Vzdálenost v periheliu: 0,153 AU
Excentricita: 1,116
Sklon dráhy: 46,9°
Délka vzestupného uzlu: 82,4°
Argument perihelia: 127,0°
Střední anomálie: -18,7°
Epocha: 2023 DEC 15 00:50:45
orbit plot

NeinteraktivnĂ­ graf | InteraktivnĂ­ graf

position vs time
speed and acceleration