🇳🇴 🇬🇧 🇩🇪 🇨🇿 🇫🇮

Meteor Storsteinnesin yllä 2023-12-15 00:50:45 UTC

KML-tiedosto  |  Interaktiivinen kartta

Kartta näyttää meteorin suuntahavainnot. Vaaleammat viivat näyttävät suunnat havaintoasemilta meteorin ilmestyessä, ja tummemmat viivat näyttävät, missä se viimeksi nähtiin. Sininen nuoli näyttää meteorin näkyvän lennon.

static map
height profile
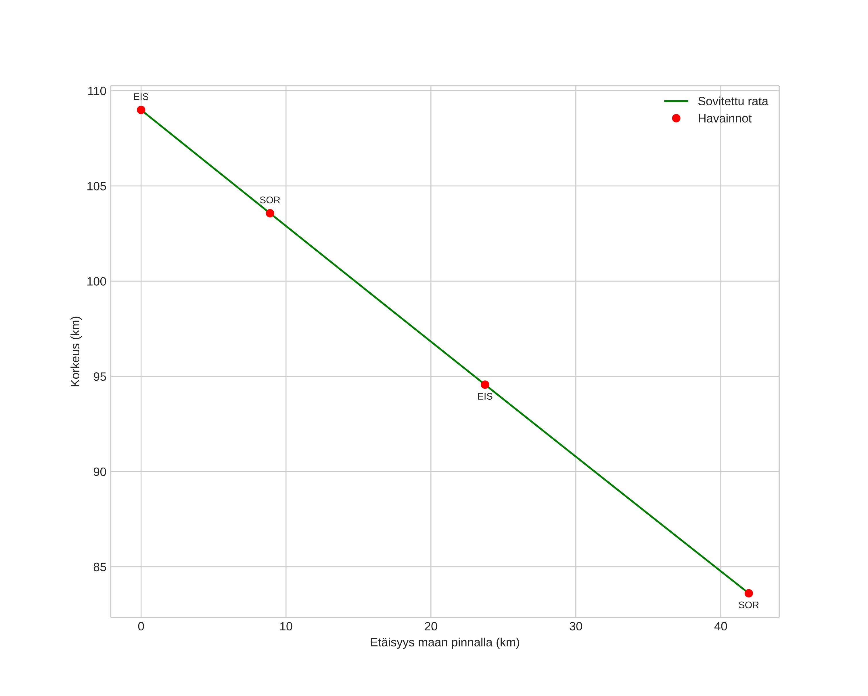
Meteorin ilmakehärata:
Alkukorkeus: 106,5 km
Loppukorkeus: 83,9 km
Alkupiste: 68,055N 19,041E
Loppupiste: 68,386N 19,237E
Suunta: 12,3°
Kallistuskulma: 30,9°
Tulonopeus: 52,8 km/s
Radiantin R,A,: 06:55 (103,9°)
Radiantin Dekl,: 8,7°
Meteoriparvi: Sporadinen
Meteoroidin rataelementit:
Perihelietäisyys: 0,153 AU
Eksentrisyys: 1,116
Inklinaatio: 46,9°
Nousevan solmun pituus: 82,4°
Perihelin argumentti: 127,0°
Keskianomalia: -18,7°
Epookki: 2023 DEC 15 00:50:45
orbit plot

Ei-interaktiivinen kuvaaja | Interaktiivinen kuvaaja

position vs time
speed and acceleration