🇳🇴 🇬🇧 🇩🇪 🇨🇿 🇫🇮

Meteor, poloha: Setermoen 2023-12-15 00:54:54 UTC

Soubor KML  |  InteraktivnĂ­ mapa

Mapa zobrazuje dráhy meteoru. Světlejší čáry ukazují směry od pozorovacích stanic při objevení se meteoru a tmavší čáry, kde byl naposledy viděn. Modrá šipka značí viditelnou dráhu meteoru.

static map
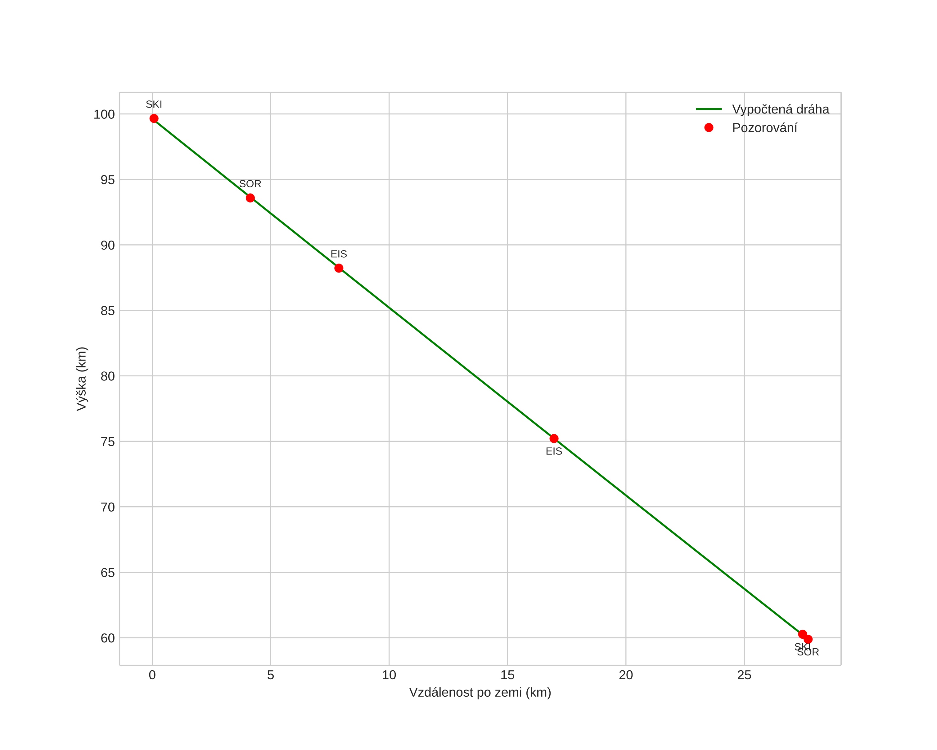
height profile
Atmosférická dráha meteoru:
Počáteční výška: 99,7 km
Konečná výška: 60,0 km
Počáteční poloha: 67,952N 18,705E
Konečná poloha: 68,205N 18,729E
Směr: 2,1°
Sklon: 54,7°
VstupnĂ­ rychlost: 37,8 km/s
Rektascenze radiantu: 07:34 (113,6°)
Deklinace radiantu: 31,8°
MeteorickĂ˝ roj: Geminidy
Elementy dráhy meteoroidu:
Vzdálenost v periheliu: 0,129 AU
Excentricita: 0,917
Sklon dráhy: 24,7°
Délka vzestupného uzlu: 262,4°
Argument perihelia: 324,8°
Střední anomálie: 341,5°
Epocha: 2023 DEC 15 00:54:54
orbit plot

NeinteraktivnĂ­ graf | InteraktivnĂ­ graf

position vs time
speed and acceleration