🇳🇴 🇬🇧 🇩🇪 🇨🇿 🇫🇮

Meteor über Setermoen 2023-12-15 00:54:54 UTC

KML-Datei  |  Interaktive Karte

Die Karte zeigt die Peilungen für den Meteor. Die helleren Linien zeigen die Richtungen von den Beobachtungsorten beim Erscheinen des Meteors, und die dunkleren Linien, wo er zuletzt gesehen wurde. Der blaue Pfeil zeigt die sichtbare Bahn des Meteors.

static map
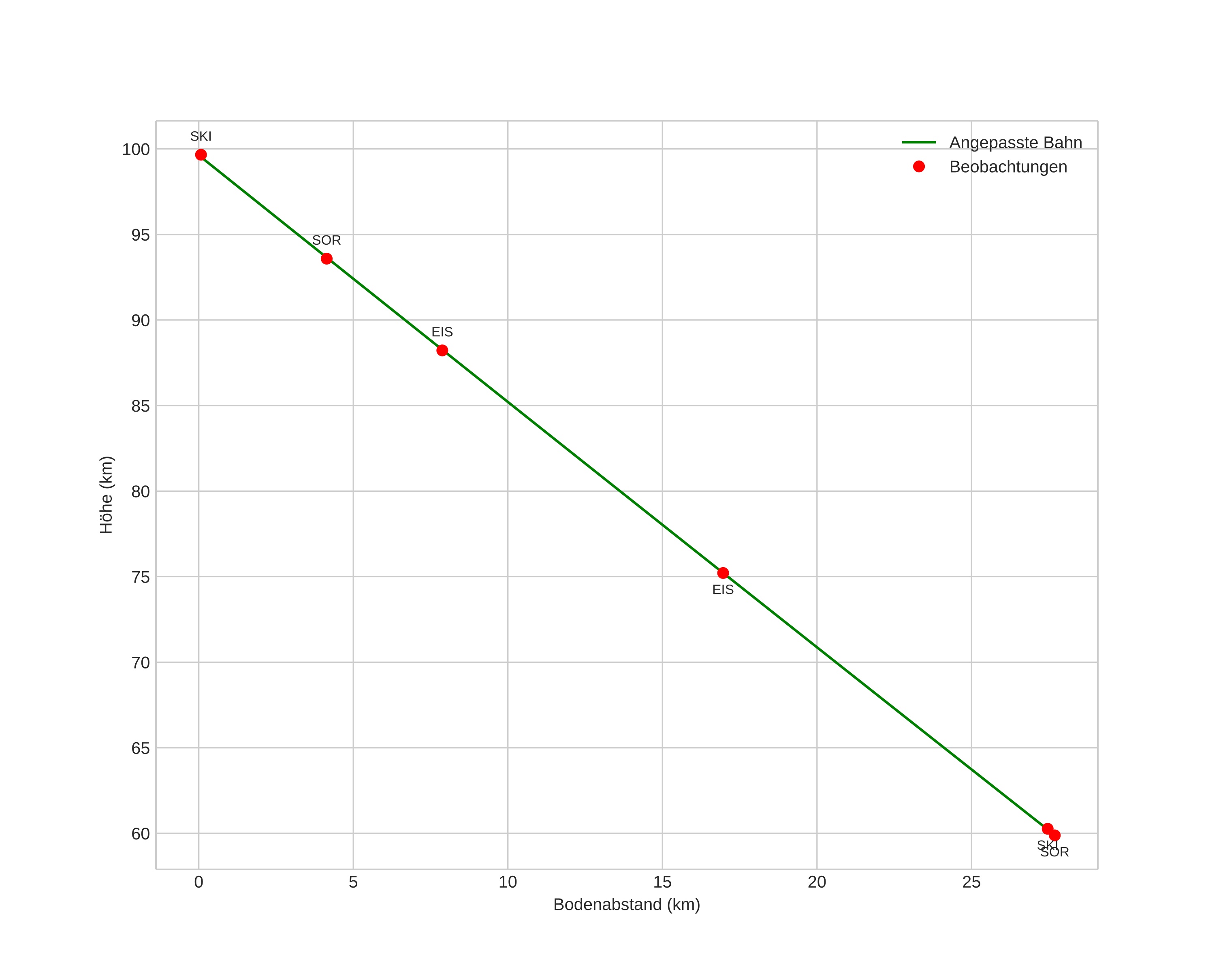
height profile
Atmosphärische Bahn des Meteors:
Anfangshöhe: 99,7 km
Endhöhe: 60,0 km
Startposition: 67,952N 18,705E
Endposition: 68,205N 18,729E
Richtung: 2,1°
Neigungswinkel: 54,7°
Eintrittsgeschwindigkeit: 37,8 km/s
Rektaszension des Radianten: 07:34 (113,6°)
Deklination des Radianten: 31,8°
Meteorstrom: Geminiden
Bahnelemente des Meteoroiden:
Periheldistanz: 0,129 AU
Exzentrizität: 0,917
Inklination: 24,7°
Länge des aufsteigenden Knotens: 262,4°
Argument des Perihels: 324,8°
Mittlere Anomalie: 341,5°
Epoche: 2023 DEC 15 00:54:54
orbit plot

Nicht-interaktives Diagramm | Interaktives Diagramm

position vs time
speed and acceleration