🇳🇴 🇬🇧 🇩🇪 🇨🇿 🇫🇮

Meteor, poloha: Røst 2023-12-15 01:12:42 UTC

Soubor KML  |  InteraktivnĂ­ mapa

Mapa zobrazuje dráhy meteoru. Světlejší čáry ukazují směry od pozorovacích stanic při objevení se meteoru a tmavší čáry, kde byl naposledy viděn. Modrá šipka značí viditelnou dráhu meteoru.

static map
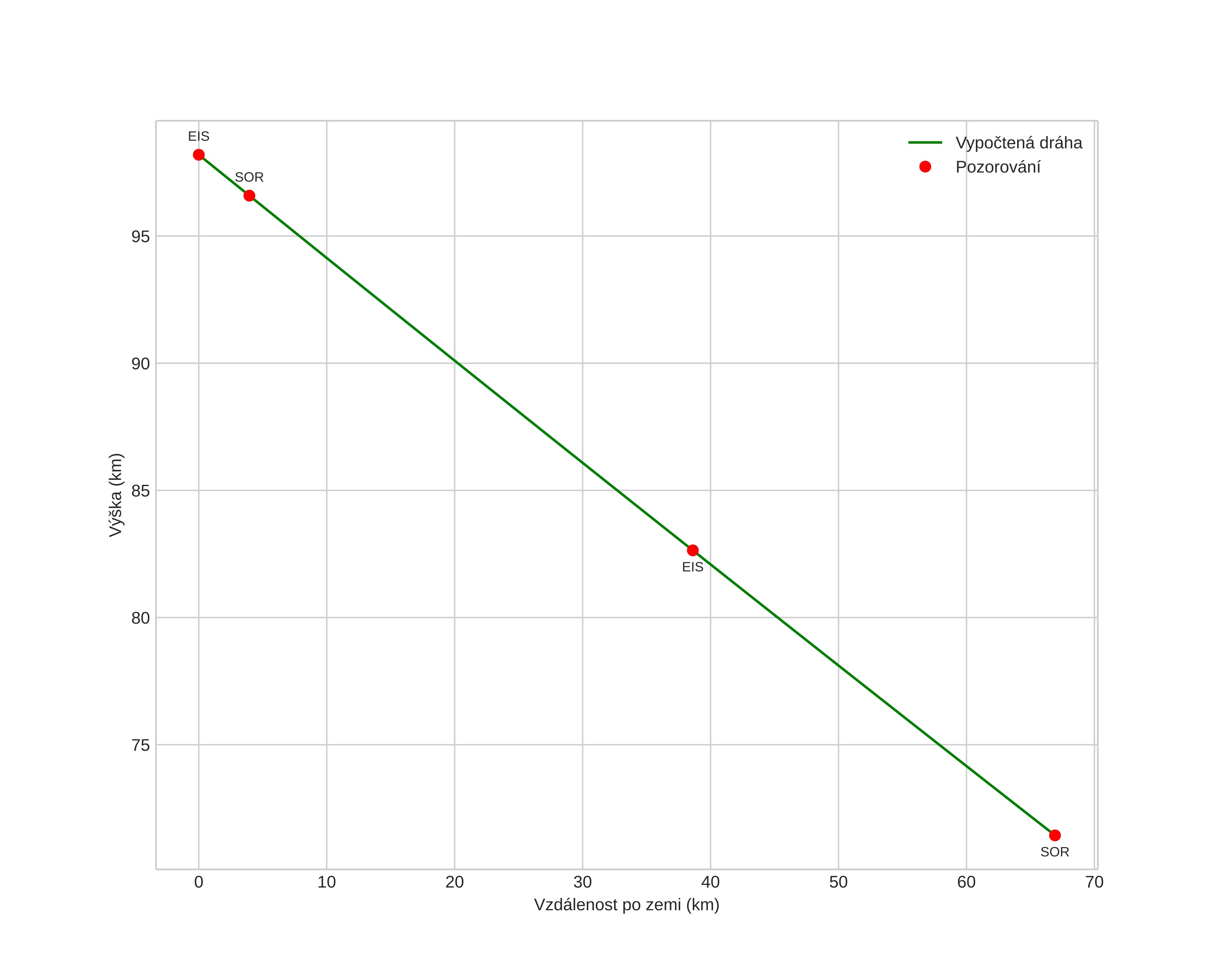
height profile
Atmosférická dráha meteoru:
Počáteční výška: 98,1 km
Konečná výška: 71,4 km
Počáteční poloha: 68,394N 8,504E
Konečná poloha: 68,961N 7,946E
Směr: 340,6°
Sklon: 21,8°
VstupnĂ­ rychlost: 57,8 km/s
Rektascenze radiantu: 08:30 (127,7°)
Deklinace radiantu: 0,6°
MeteorickĂ˝ roj: Sigma Hydridy
Elementy dráhy meteoroidu:
Vzdálenost v periheliu: 0,214 AU
Excentricita: 0,983
Sklon dráhy: 118,8°
Délka vzestupného uzlu: 82,5°
Argument perihelia: 125,3°
Střední anomálie: 359,3°
Epocha: 2023 DEC 15 01:12:42
orbit plot

NeinteraktivnĂ­ graf | InteraktivnĂ­ graf

position vs time
speed and acceleration