🇳🇴 🇬🇧 🇩🇪 🇨🇿 🇫🇮

Meteor Røstin yllä 2023-12-15 01:12:42 UTC

KML-tiedosto  |  Interaktiivinen kartta

Kartta näyttää meteorin suuntahavainnot. Vaaleammat viivat näyttävät suunnat havaintoasemilta meteorin ilmestyessä, ja tummemmat viivat näyttävät, missä se viimeksi nähtiin. Sininen nuoli näyttää meteorin näkyvän lennon.

static map
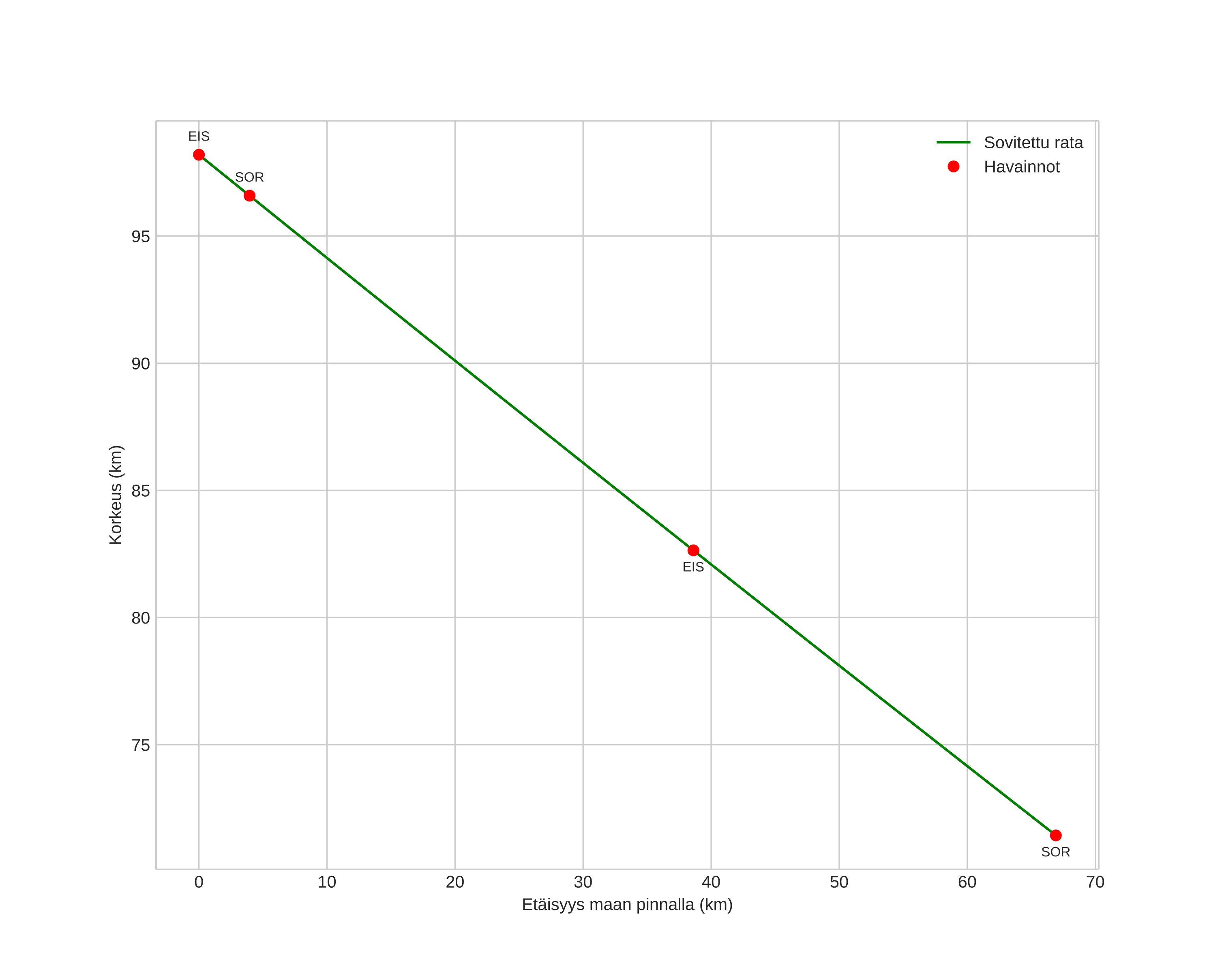
height profile
Meteorin ilmakehärata:
Alkukorkeus: 98,1 km
Loppukorkeus: 71,4 km
Alkupiste: 68,394N 8,504E
Loppupiste: 68,961N 7,946E
Suunta: 340,6°
Kallistuskulma: 21,8°
Tulonopeus: 57,8 km/s
Radiantin R,A,: 08:30 (127,7°)
Radiantin Dekl,: 0,6°
Meteoriparvi: Sigma-hydridit
Meteoroidin rataelementit:
Perihelietäisyys: 0,214 AU
Eksentrisyys: 0,983
Inklinaatio: 118,8°
Nousevan solmun pituus: 82,5°
Perihelin argumentti: 125,3°
Keskianomalia: 359,3°
Epookki: 2023 DEC 15 01:12:42
orbit plot

Ei-interaktiivinen kuvaaja | Interaktiivinen kuvaaja

position vs time
speed and acceleration