🇳🇴 🇬🇧 🇩🇪 🇨🇿 🇫🇮

Meteor über Enontekiö 2023-12-15 01:16:11 UTC

KML-Datei  |  Interaktive Karte

Die Karte zeigt die Peilungen für den Meteor. Die helleren Linien zeigen die Richtungen von den Beobachtungsorten beim Erscheinen des Meteors, und die dunkleren Linien, wo er zuletzt gesehen wurde. Der blaue Pfeil zeigt die sichtbare Bahn des Meteors.

static map
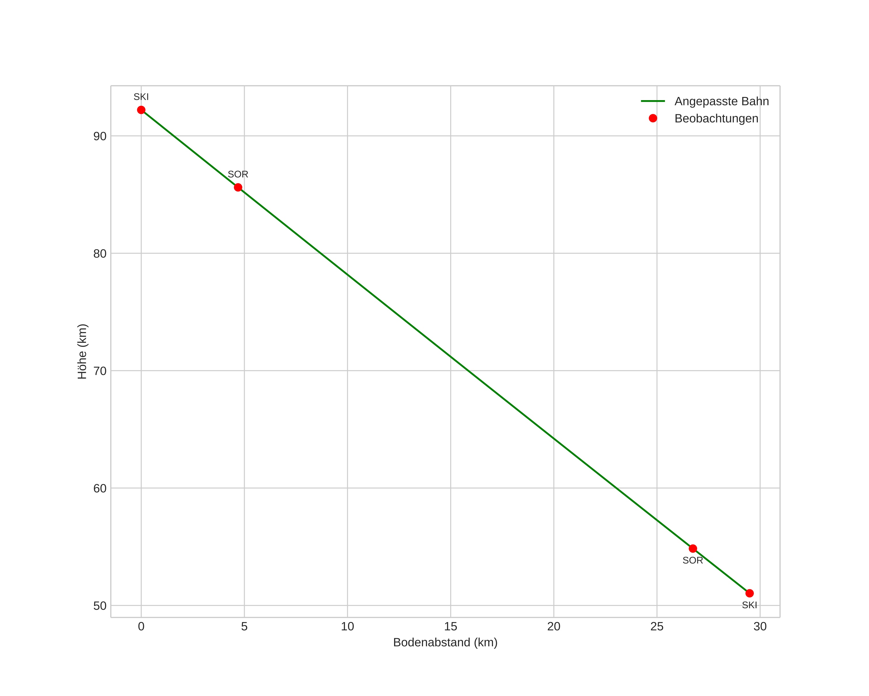
height profile
Atmosphärische Bahn des Meteors:
Anfangshöhe: 84,0 km
Endhöhe: 51,6 km
Startposition: 68,190N 23,797E
Endposition: 68,386N 24,023E
Richtung: 23,0°
Neigungswinkel: 53,9°
Eintrittsgeschwindigkeit: 31,5 km/s
Rektaszension des Radianten: 07:16 (109,2°)
Deklination des Radianten: 32,0°
Meteorstrom: Geminiden
Bahnelemente des Meteoroiden:
Periheldistanz: 0,218 AU
Exzentrizität: 0,822
Inklination: 15,0°
Länge des aufsteigenden Knotens: 262,4°
Argument des Perihels: 316,5°
Mittlere Anomalie: 329,7°
Epoche: 2023 DEC 15 01:16:11
orbit plot

Nicht-interaktives Diagramm | Interaktives Diagramm

position vs time
speed and acceleration

Skibotn (SKI) cam2


gnomonic
Videos
• Gnomonisch
• Gnomonisch mit Koordinaten
• Original
• Original mit Koordinaten
Bilder
• Gnomonisch
• Gnomonisch mit Koordinaten
• Original
• Original mit Koordinaten
Textdateien
• Erkennung
• Beobachtung
• Koordinaten
• Fehlermeldungen
• Protokoll
Helligkeit