🇳🇴 🇬🇧 🇩🇪 🇨🇿 🇫🇮

Meteor Enontekiöin yllä 2023-12-15 01:16:11 UTC

KML-tiedosto  |  Interaktiivinen kartta

Kartta näyttää meteorin suuntahavainnot. Vaaleammat viivat näyttävät suunnat havaintoasemilta meteorin ilmestyessä, ja tummemmat viivat näyttävät, missä se viimeksi nähtiin. Sininen nuoli näyttää meteorin näkyvän lennon.

static map
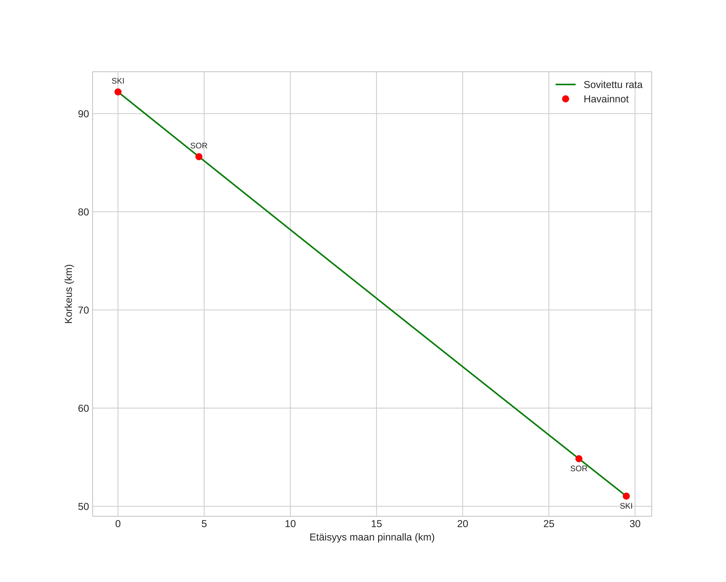
height profile
Meteorin ilmakehärata:
Alkukorkeus: 84,0 km
Loppukorkeus: 51,6 km
Alkupiste: 68,190N 23,797E
Loppupiste: 68,386N 24,023E
Suunta: 23,0°
Kallistuskulma: 53,9°
Tulonopeus: 31,5 km/s
Radiantin R,A,: 07:16 (109,2°)
Radiantin Dekl,: 32,0°
Meteoriparvi: Geminidit
Meteoroidin rataelementit:
Perihelietäisyys: 0,218 AU
Eksentrisyys: 0,822
Inklinaatio: 15,0°
Nousevan solmun pituus: 262,4°
Perihelin argumentti: 316,5°
Keskianomalia: 329,7°
Epookki: 2023 DEC 15 01:16:11
orbit plot

Ei-interaktiivinen kuvaaja | Interaktiivinen kuvaaja

position vs time
speed and acceleration

Skibotn (SKI) cam2


gnomonic
Videot:
• Gnomoninen
• Gnomoninen koordinaateilla
• Alkuperäinen
• Alkuperäinen koordinaateilla
Kuvat:
• Gnomoninen
• Gnomoninen koordinaateilla
• Alkuperäinen
• Alkuperäinen koordinaateilla
Tekstitiedostot:
• Havaintoraportti
• Observaatio
• Koordinaatit
• Virheilmoitukset
• Loki
Kirkkaus