🇳🇴 🇬🇧 🇩🇪 🇨🇿 🇫🇮

Meteor, poloha: Røst 2023-12-15 01:20:16 UTC

Soubor KML  |  InteraktivnĂ­ mapa

Mapa zobrazuje dráhy meteoru. Světlejší čáry ukazují směry od pozorovacích stanic při objevení se meteoru a tmavší čáry, kde byl naposledy viděn. Modrá šipka značí viditelnou dráhu meteoru.

static map
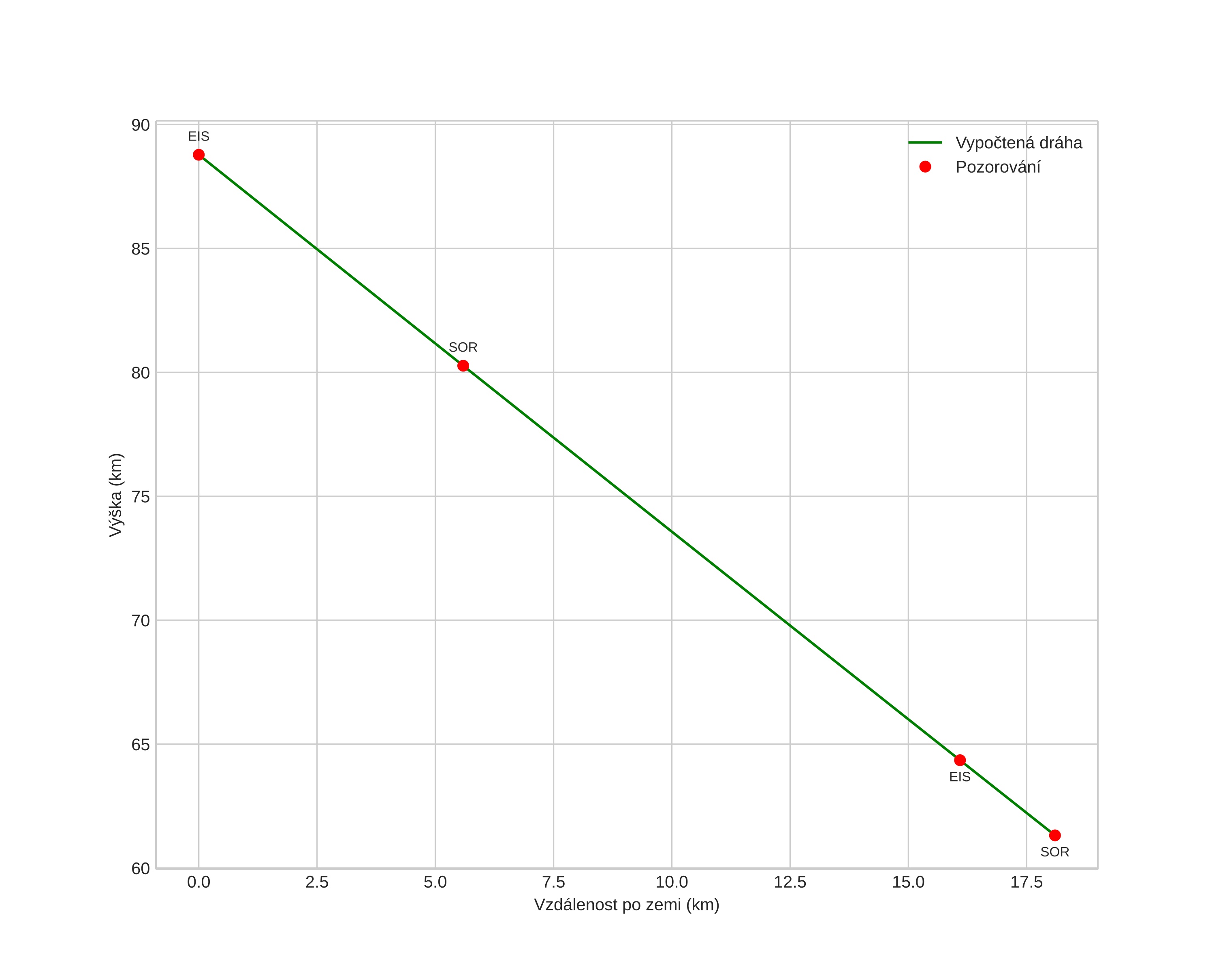
height profile
Atmosférická dráha meteoru:
Počáteční výška: 88,6 km
Konečná výška: 61,3 km
Počáteční poloha: 67,950N 8,970E
Konečná poloha: 68,102N 8,816E
Směr: 339,4°
Sklon: 56,5°
VstupnĂ­ rychlost: 32,0 km/s
Rektascenze radiantu: 08:22 (125,6°)
Deklinace radiantu: 34,4°
MeteorickĂ˝ roj: sporadickĂ˝
Elementy dráhy meteoroidu:
Vzdálenost v periheliu: 0,128 AU
Excentricita: 0,849
Sklon dráhy: 30,8°
Délka vzestupného uzlu: 262,5°
Argument perihelia: 333,4°
Střední anomálie: 307,1°
Epocha: 2023 DEC 15 01:20:16
orbit plot

NeinteraktivnĂ­ graf | InteraktivnĂ­ graf

position vs time
speed and acceleration