🇳🇴 🇬🇧 🇩🇪 🇨🇿 🇫🇮

Meteor Røstin yllä 2023-12-15 01:20:16 UTC

KML-tiedosto  |  Interaktiivinen kartta

Kartta näyttää meteorin suuntahavainnot. Vaaleammat viivat näyttävät suunnat havaintoasemilta meteorin ilmestyessä, ja tummemmat viivat näyttävät, missä se viimeksi nähtiin. Sininen nuoli näyttää meteorin näkyvän lennon.

static map
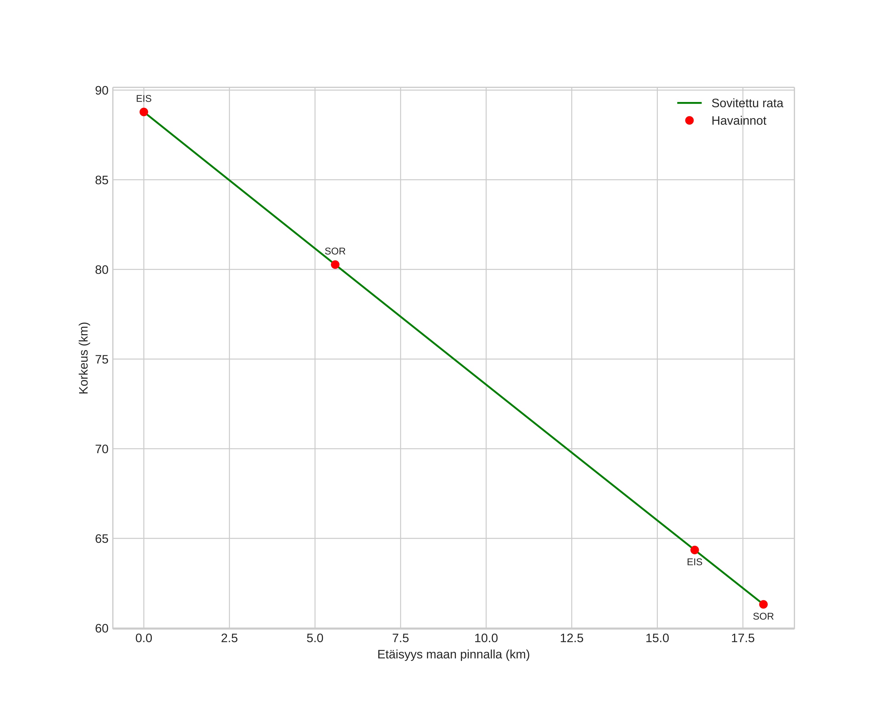
height profile
Meteorin ilmakehärata:
Alkukorkeus: 88,6 km
Loppukorkeus: 61,3 km
Alkupiste: 67,950N 8,970E
Loppupiste: 68,102N 8,816E
Suunta: 339,4°
Kallistuskulma: 56,5°
Tulonopeus: 32,0 km/s
Radiantin R,A,: 08:22 (125,6°)
Radiantin Dekl,: 34,4°
Meteoriparvi: Sporadinen
Meteoroidin rataelementit:
Perihelietäisyys: 0,128 AU
Eksentrisyys: 0,849
Inklinaatio: 30,8°
Nousevan solmun pituus: 262,5°
Perihelin argumentti: 333,4°
Keskianomalia: 307,1°
Epookki: 2023 DEC 15 01:20:16
orbit plot

Ei-interaktiivinen kuvaaja | Interaktiivinen kuvaaja

position vs time
speed and acceleration