🇳🇴 🇬🇧 🇩🇪 🇨🇿 🇫🇮

Meteor, poloha: Andenes 2023-12-15 01:23:58 UTC

Skibotn – 3
Skibotn – 3
Sørreisa – 3
Sørreisa – 3
Sørreisa – 4
Sørreisa – 4

Soubor KML  | Interaktivní mapa

map

Mapa zobrazuje dráhy meteoru. Světlejší čáry ukazují směry od pozorovacích stanic při objevení se meteoru a tmavší čáry, kde byl naposledy viděn. Modrá šipka značí viditelnou dráhu meteoru.

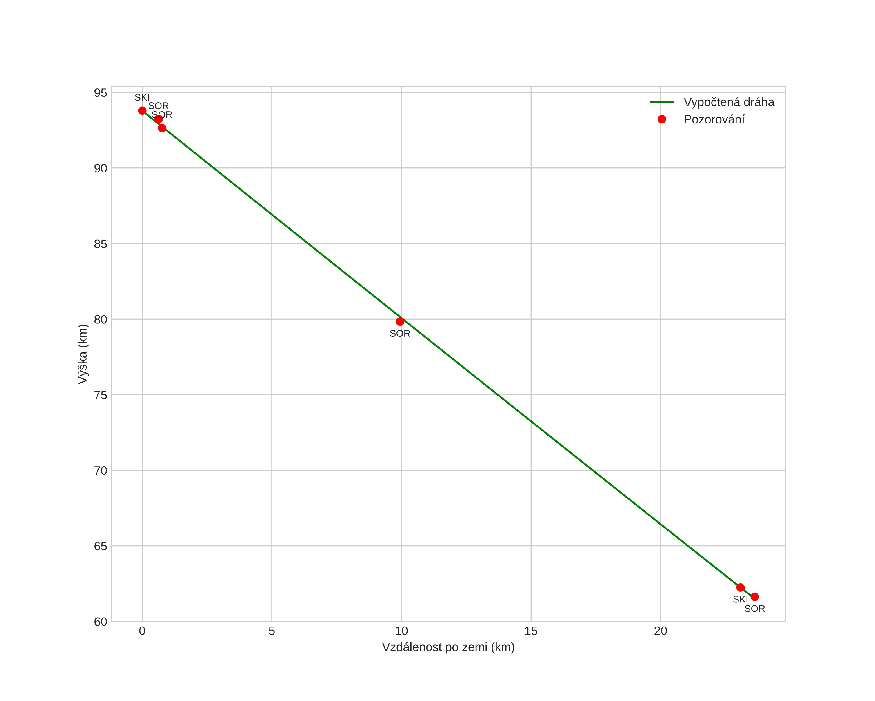
height profile
Atmosférická dráha meteoru:
Počáteční výška: 95,0 km
Konečná výška: 63,5 km
Počáteční poloha: 69,709N 16,298E
Konečná poloha: 69,933N 16,373E
Směr: 6,5°
Sklon: 51,4°
Vstupní rychlost: 36,3 km/s
Rektascenze radiantu: 07:40 (115,2°)
Deklinace radiantu: 30,2°
Meteorický roj: Geminidy
Elementy dráhy meteoroidu:
Vzdálenost v periheliu: 0,120 AU
Excentricita: 0,906
Sklon dráhy: 21,2°
Délka vzestupného uzlu: 262,5°
Argument perihelia: 328,0°
Střední anomálie: 334,8°
Epocha: 2023 DEC 15 01:23:58
orbit

Neinteraktivní graf | Interaktivní graf

position vs time
speed & acceleration