🇳🇴 🇬🇧 🇩🇪 🇨🇿 🇫🇮

Meteor ĂĽber Andenes 2023-12-15 01:23:58 UTC

Skibotn – 3
Skibotn – 3
Sørreisa – 3
Sørreisa – 3
Sørreisa – 4
Sørreisa – 4

KML-Datei  | Interaktive Karte

map

Die Karte zeigt die Peilungen fĂĽr den Meteor. Die helleren Linien zeigen die Richtungen von den Beobachtungsorten beim Erscheinen des Meteors, und die dunkleren Linien, wo er zuletzt gesehen wurde. Der blaue Pfeil zeigt die sichtbare Bahn des Meteors.

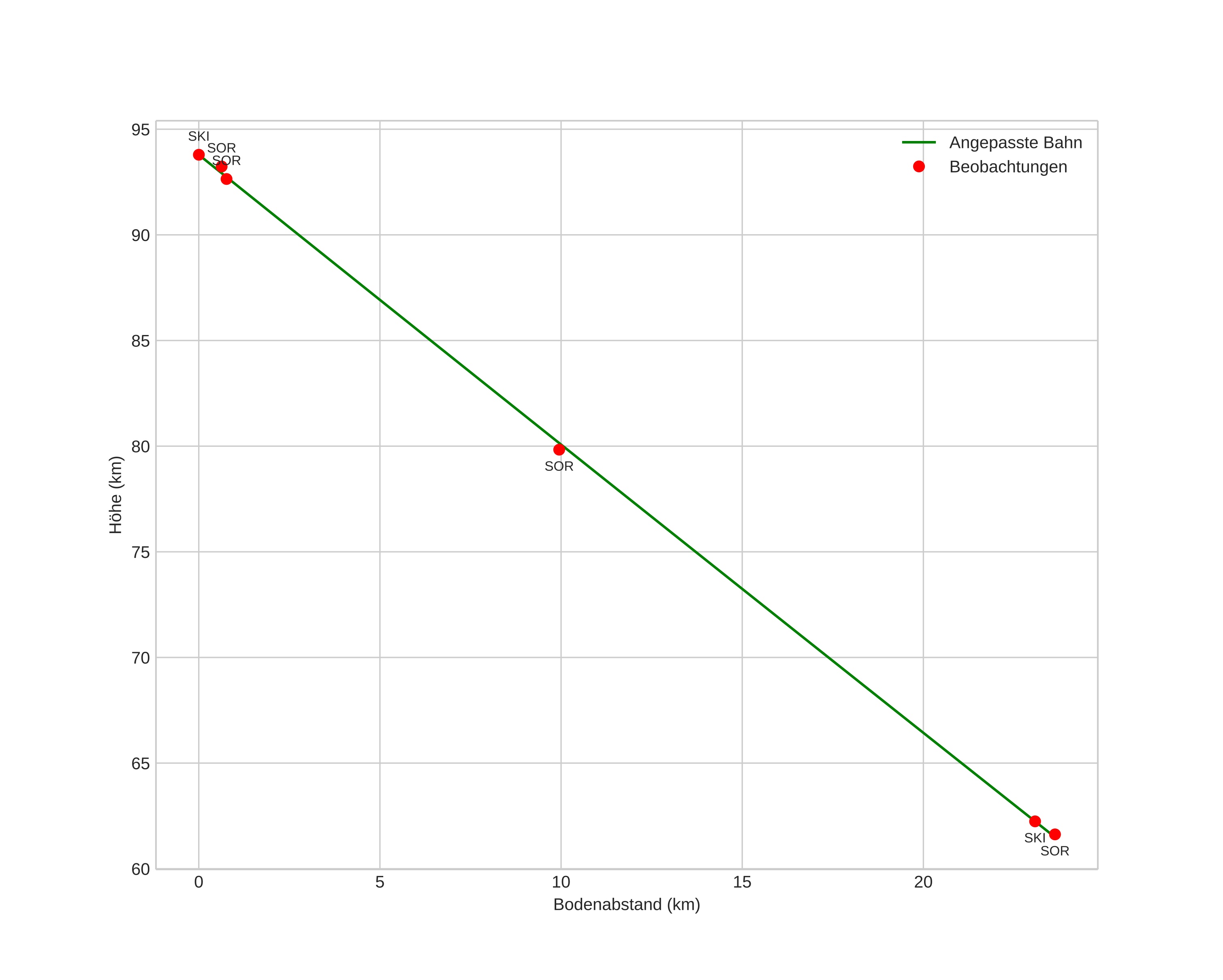
height profile
Atmosphärische Bahn des Meteors:
Anfangshöhe: 95,0 km
Endhöhe: 63,5 km
Startposition: 69,709N 16,298E
Endposition: 69,933N 16,373E
Richtung: 6,5°
Neigungswinkel: 51,4°
Eintrittsgeschwindigkeit: 36,3 km/s
Rektaszension des Radianten: 07:40 (115,2°)
Deklination des Radianten: 30,2°
Meteorstrom: Geminiden
Bahnelemente des Meteoroiden:
Periheldistanz: 0,120 AU
Exzentrizität: 0,906
Inklination: 21,2°
Länge des aufsteigenden Knotens: 262,5°
Argument des Perihels: 328,0°
Mittlere Anomalie: 334,8°
Epoche: 2023 DEC 15 01:23:58
orbit

Nicht-interaktives Diagramm | Interaktives Diagramm

position vs time
speed & acceleration