🇳🇴 🇬🇧 🇩🇪 🇨🇿 🇫🇮

Meteor, poloha: Evenskjer 2023-12-15 01:51:19 UTC

Soubor KML  |  InteraktivnĂ­ mapa

Mapa zobrazuje dráhy meteoru. Světlejší čáry ukazují směry od pozorovacích stanic při objevení se meteoru a tmavší čáry, kde byl naposledy viděn. Modrá šipka značí viditelnou dráhu meteoru.

static map
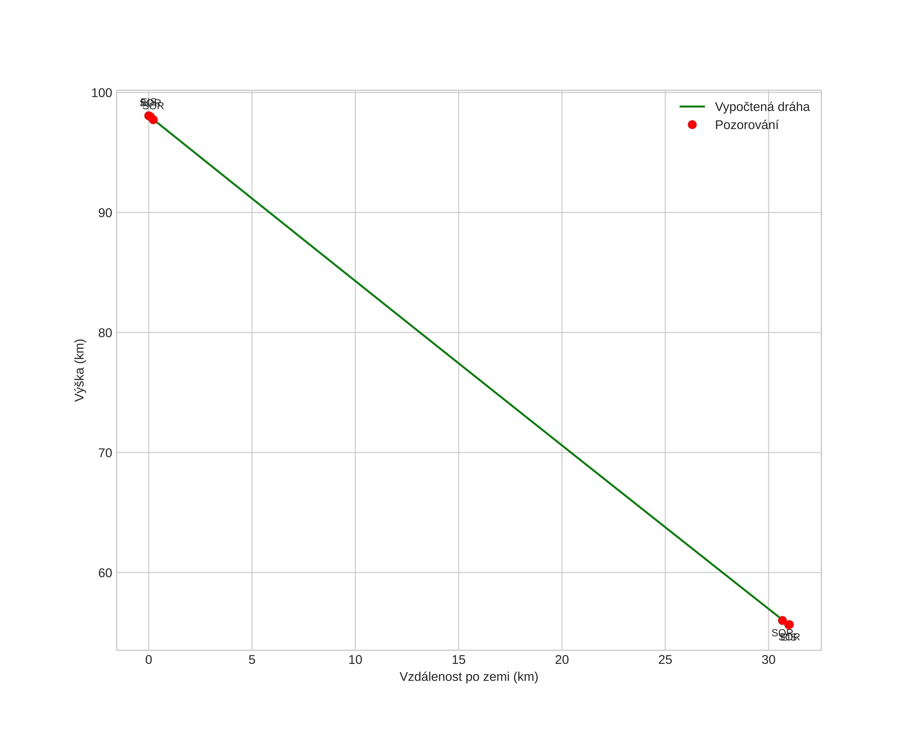
height profile
Atmosférická dráha meteoru:
Počáteční výška: 97,9 km
Konečná výška: 56,4 km
Počáteční poloha: 68,239N 16,273E
Konečná poloha: 68,491N 16,491E
Směr: 17,6°
Sklon: 54,7°
VstupnĂ­ rychlost: 36,5 km/s
Rektascenze radiantu: 07:38 (114,6°)
Deklinace radiantu: 32,7°
MeteorickĂ˝ roj: Geminidy
Elementy dráhy meteoroidu:
Vzdálenost v periheliu: 0,138 AU
Excentricita: 0,900
Sklon dráhy: 25,4°
Délka vzestupného uzlu: 262,5°
Argument perihelia: 324,7°
Střední anomálie: 337,3°
Epocha: 2023 DEC 15 01:51:19
orbit plot

NeinteraktivnĂ­ graf | InteraktivnĂ­ graf

position vs time
speed and acceleration