🇳🇴 🇬🇧 🇩🇪 🇨🇿 🇫🇮

Meteor Evenskjerin yllä 2023-12-15 01:51:19 UTC

KML-tiedosto  |  Interaktiivinen kartta

Kartta näyttää meteorin suuntahavainnot. Vaaleammat viivat näyttävät suunnat havaintoasemilta meteorin ilmestyessä, ja tummemmat viivat näyttävät, missä se viimeksi nähtiin. Sininen nuoli näyttää meteorin näkyvän lennon.

static map
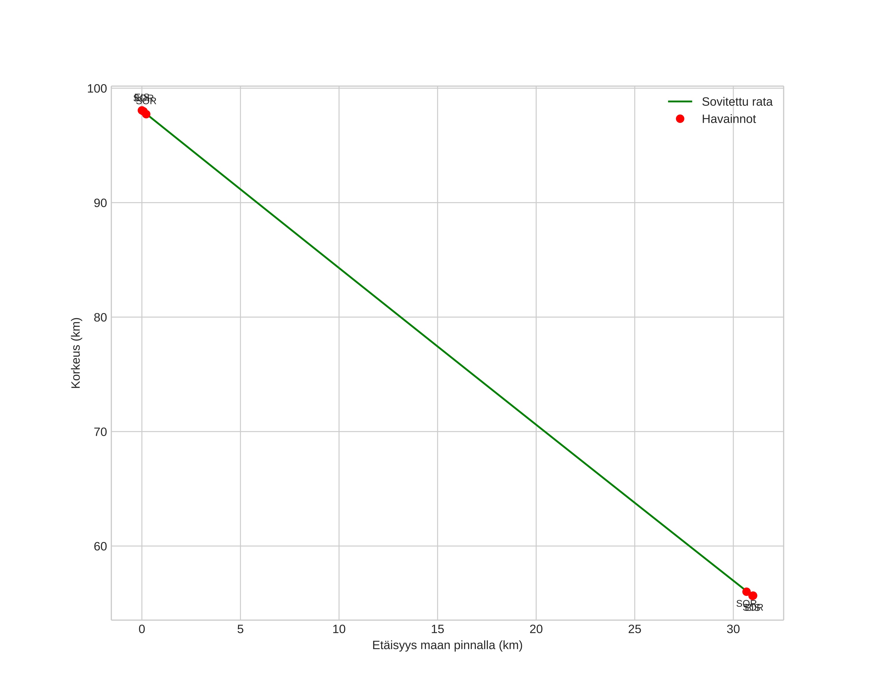
height profile
Meteorin ilmakehärata:
Alkukorkeus: 97,9 km
Loppukorkeus: 56,4 km
Alkupiste: 68,239N 16,273E
Loppupiste: 68,491N 16,491E
Suunta: 17,6°
Kallistuskulma: 54,7°
Tulonopeus: 36,5 km/s
Radiantin R,A,: 07:38 (114,6°)
Radiantin Dekl,: 32,7°
Meteoriparvi: Geminidit
Meteoroidin rataelementit:
Perihelietäisyys: 0,138 AU
Eksentrisyys: 0,900
Inklinaatio: 25,4°
Nousevan solmun pituus: 262,5°
Perihelin argumentti: 324,7°
Keskianomalia: 337,3°
Epookki: 2023 DEC 15 01:51:19
orbit plot

Ei-interaktiivinen kuvaaja | Interaktiivinen kuvaaja

position vs time
speed and acceleration