🇳🇴 🇬🇧 🇩🇪 🇨🇿 🇫🇮

Meteor, poloha: Myre 2023-12-15 02:13:44 UTC

Soubor KML  |  InteraktivnĂ­ mapa

Mapa zobrazuje dráhy meteoru. Světlejší čáry ukazují směry od pozorovacích stanic při objevení se meteoru a tmavší čáry, kde byl naposledy viděn. Modrá šipka značí viditelnou dráhu meteoru.

static map
height profile
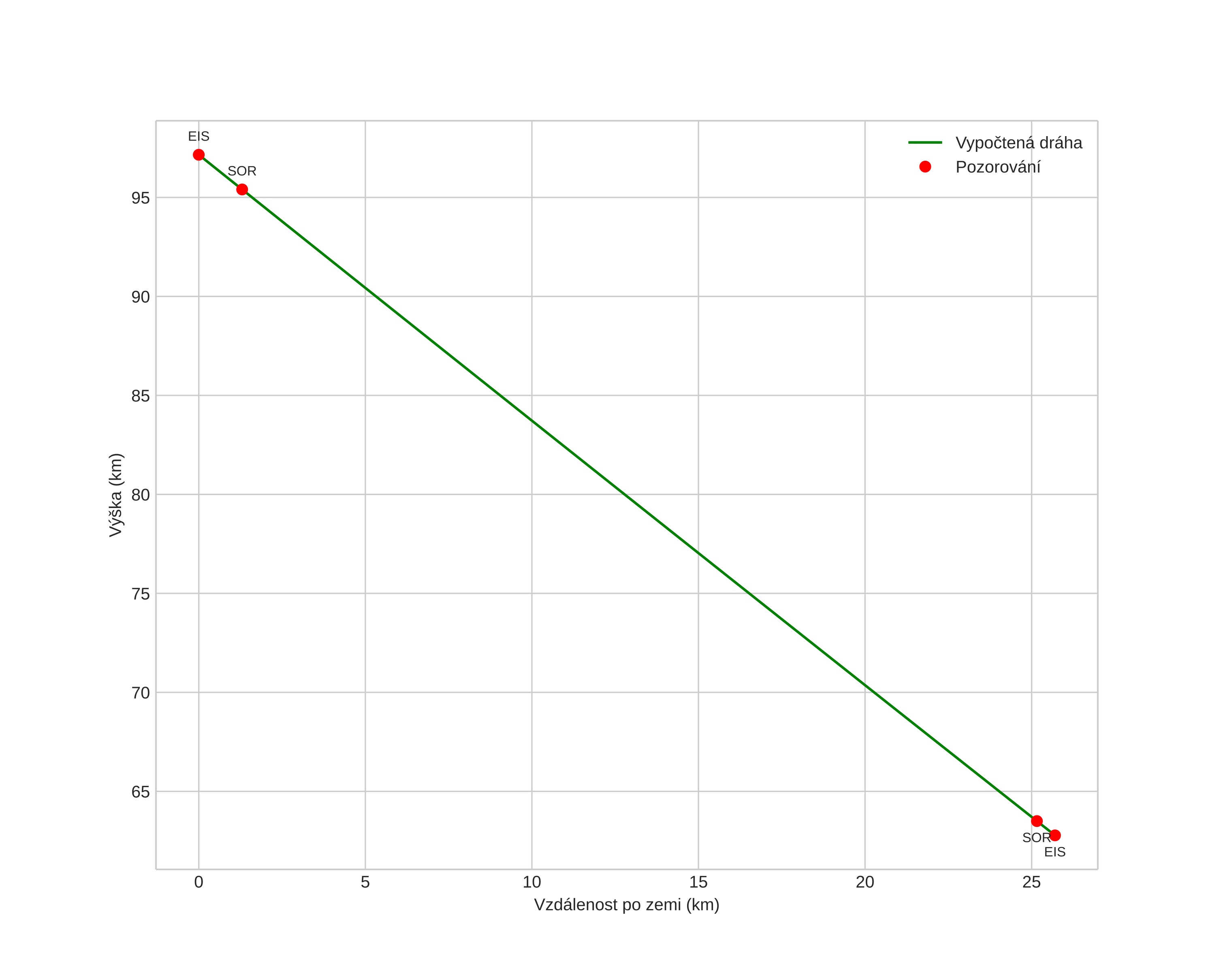
Atmosférická dráha meteoru:
Počáteční výška: 97,2 km
Konečná výška: 62,5 km
Počáteční poloha: 69,001N 15,026E
Konečná poloha: 69,213N 15,299E
Směr: 24,5°
Sklon: 53,2°
VstupnĂ­ rychlost: 35,3 km/s
Rektascenze radiantu: 07:34 (113,6°)
Deklinace radiantu: 32,5°
MeteorickĂ˝ roj: Geminidy
Elementy dráhy meteoroidu:
Vzdálenost v periheliu: 0,152 AU
Excentricita: 0,884
Sklon dráhy: 22,5°
Délka vzestupného uzlu: 262,5°
Argument perihelia: 323,3°
Střední anomálie: 335,0°
Epocha: 2023 DEC 15 02:13:44
orbit plot

NeinteraktivnĂ­ graf | InteraktivnĂ­ graf

position vs time
speed and acceleration