🇳🇴 🇬🇧 🇩🇪 🇨🇿 🇫🇮

Meteor Myren yllä 2023-12-15 02:13:44 UTC

KML-tiedosto  |  Interaktiivinen kartta

Kartta näyttää meteorin suuntahavainnot. Vaaleammat viivat näyttävät suunnat havaintoasemilta meteorin ilmestyessä, ja tummemmat viivat näyttävät, missä se viimeksi nähtiin. Sininen nuoli näyttää meteorin näkyvän lennon.

static map
height profile
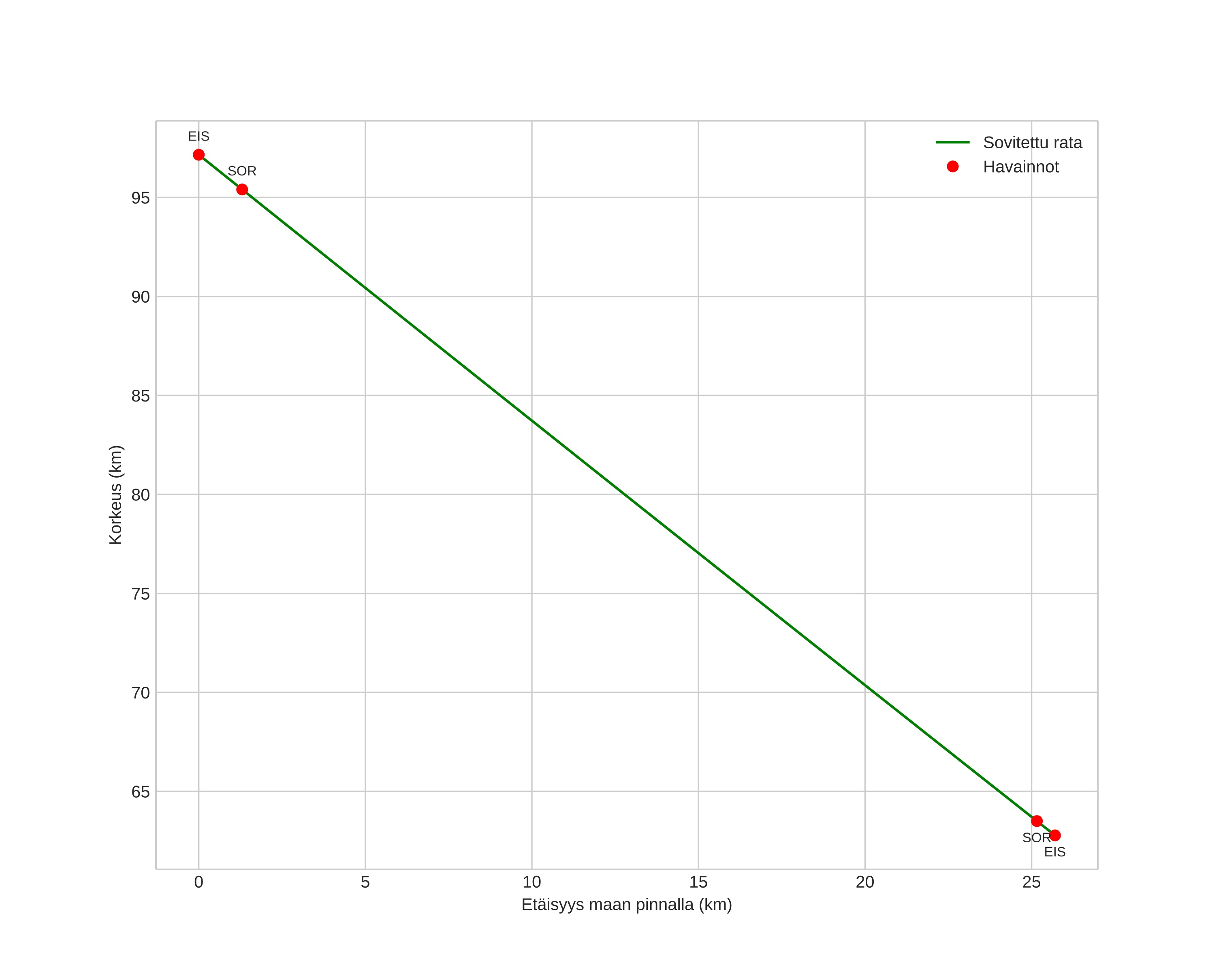
Meteorin ilmakehärata:
Alkukorkeus: 97,2 km
Loppukorkeus: 62,5 km
Alkupiste: 69,001N 15,026E
Loppupiste: 69,213N 15,299E
Suunta: 24,5°
Kallistuskulma: 53,2°
Tulonopeus: 35,3 km/s
Radiantin R,A,: 07:34 (113,6°)
Radiantin Dekl,: 32,5°
Meteoriparvi: Geminidit
Meteoroidin rataelementit:
Perihelietäisyys: 0,152 AU
Eksentrisyys: 0,884
Inklinaatio: 22,5°
Nousevan solmun pituus: 262,5°
Perihelin argumentti: 323,3°
Keskianomalia: 335,0°
Epookki: 2023 DEC 15 02:13:44
orbit plot

Ei-interaktiivinen kuvaaja | Interaktiivinen kuvaaja

position vs time
speed and acceleration