🇳🇴 🇬🇧 🇩🇪 🇨🇿 🇫🇮

Meteor, poloha: Røst 2023-12-15 02:35:23 UTC

Soubor KML  |  InteraktivnĂ­ mapa

Mapa zobrazuje dráhy meteoru. Světlejší čáry ukazují směry od pozorovacích stanic při objevení se meteoru a tmavší čáry, kde byl naposledy viděn. Modrá šipka značí viditelnou dráhu meteoru.

static map
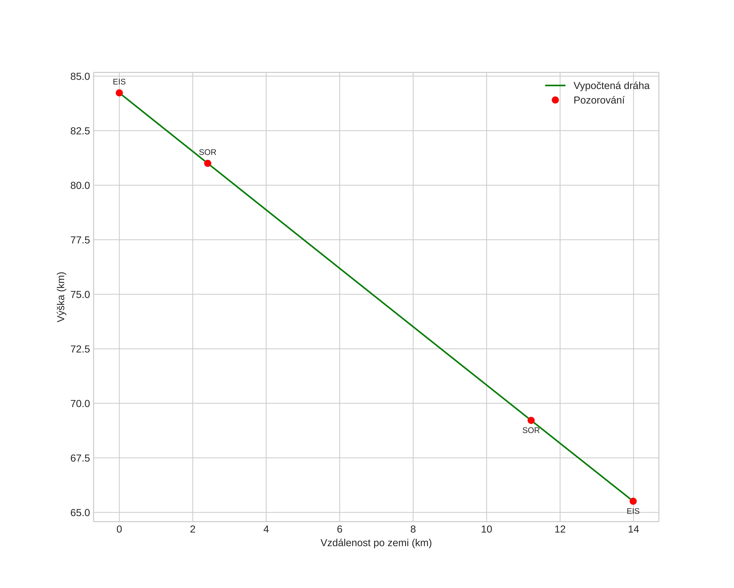
height profile
Atmosférická dráha meteoru:
Počáteční výška: 85,2 km
Konečná výška: 67,1 km
Počáteční poloha: 69,035N 10,543E
Konečná poloha: 69,146N 10,644E
Směr: 17,8°
Sklon: 54,3°
VstupnĂ­ rychlost: 33,1 km/s
Rektascenze radiantu: 07:58 (119,5°)
Deklinace radiantu: 32,9°
MeteorickĂ˝ roj: Geminidy
Elementy dráhy meteoroidu:
Vzdálenost v periheliu: 0,137 AU
Excentricita: 0,862
Sklon dráhy: 25,1°
Délka vzestupného uzlu: 262,5°
Argument perihelia: 329,3°
Střední anomálie: 319,8°
Epocha: 2023 DEC 15 02:35:23
orbit plot

NeinteraktivnĂ­ graf | InteraktivnĂ­ graf

position vs time
speed and acceleration