🇳🇴 🇬🇧 🇩🇪 🇨🇿 🇫🇮

Meteor Røstin yllä 2023-12-15 02:35:23 UTC

KML-tiedosto  |  Interaktiivinen kartta

Kartta näyttää meteorin suuntahavainnot. Vaaleammat viivat näyttävät suunnat havaintoasemilta meteorin ilmestyessä, ja tummemmat viivat näyttävät, missä se viimeksi nähtiin. Sininen nuoli näyttää meteorin näkyvän lennon.

static map
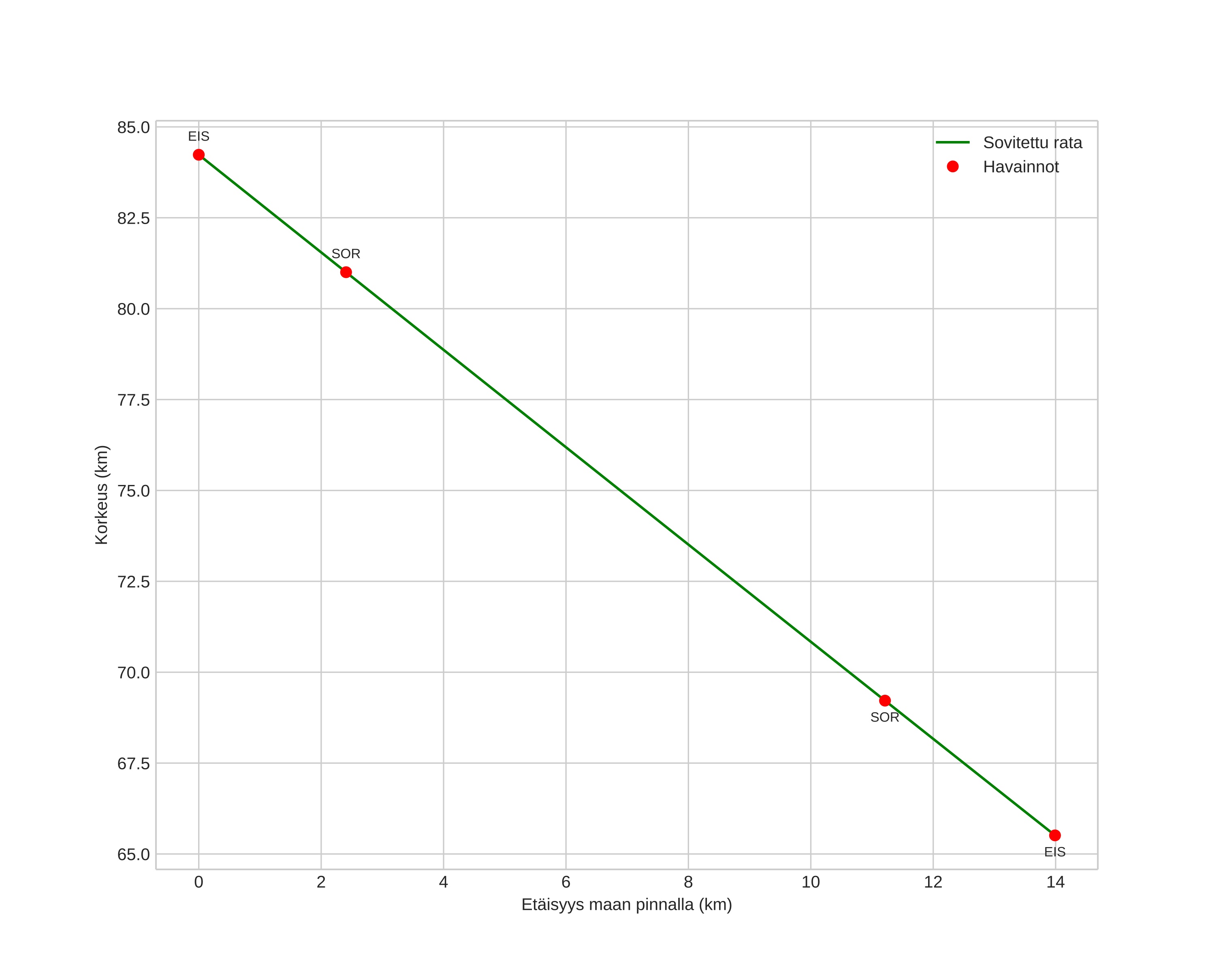
height profile
Meteorin ilmakehärata:
Alkukorkeus: 85,2 km
Loppukorkeus: 67,1 km
Alkupiste: 69,035N 10,543E
Loppupiste: 69,146N 10,644E
Suunta: 17,8°
Kallistuskulma: 54,3°
Tulonopeus: 33,1 km/s
Radiantin R,A,: 07:58 (119,5°)
Radiantin Dekl,: 32,9°
Meteoriparvi: Geminidit
Meteoroidin rataelementit:
Perihelietäisyys: 0,137 AU
Eksentrisyys: 0,862
Inklinaatio: 25,1°
Nousevan solmun pituus: 262,5°
Perihelin argumentti: 329,3°
Keskianomalia: 319,8°
Epookki: 2023 DEC 15 02:35:23
orbit plot

Ei-interaktiivinen kuvaaja | Interaktiivinen kuvaaja

position vs time
speed and acceleration