🇳🇴 🇬🇧 🇩🇪 🇨🇿 🇫🇮

Meteor, poloha: Tromsø 2023-12-15 02:37:28 UTC

Eiscat – 2
Eiscat – 2
Eiscat – 3
Eiscat – 3
Sørreisa – 4
Sørreisa – 4

Soubor KML  | Interaktivní mapa

map

Mapa zobrazuje dráhy meteoru. Světlejší čáry ukazují směry od pozorovacích stanic při objevení se meteoru a tmavší čáry, kde byl naposledy viděn. Modrá šipka značí viditelnou dráhu meteoru.

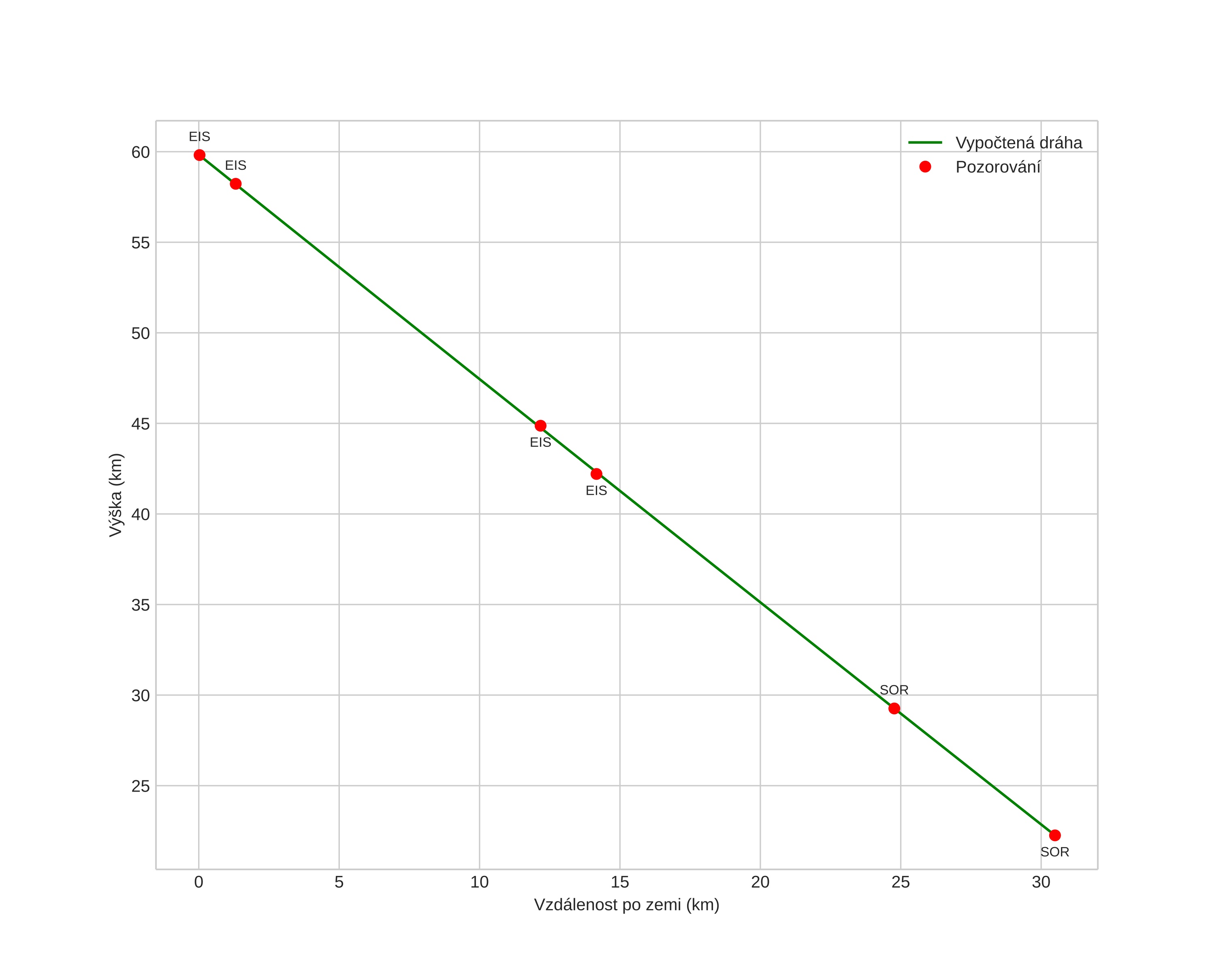
height profile
Atmosférická dráha meteoru:
Počáteční výška: 58,4 km
Konečná výška: 22,6 km
Počáteční poloha: 70,050N 17,971E
Konečná poloha: 70,295N 18,396E
Směr: 30,3°
Sklon: 48,6°
Vstupní rychlost: 21,3 km/s
Rektascenze radiantu: 07:45 (116,4°)
Deklinace radiantu: 27,3°
Meteorický roj: sporadický
Elementy dráhy meteoroidu:
Vzdálenost v periheliu: 0,296 AU
Excentricita: 0,629
Sklon dráhy: 5,2°
Délka vzestupného uzlu: 262,5°
Argument perihelia: 324,2°
Střední anomálie: 281,7°
Epocha: 2023 DEC 15 02:37:28
orbit

Neinteraktivní graf | Interaktivní graf

position vs time
speed & acceleration