🇳🇴 🇬🇧 🇩🇪 🇨🇿 🇫🇮

Meteor über Tromsø 2023-12-15 02:37:28 UTC

Eiscat – 2
Eiscat – 2
Eiscat – 3
Eiscat – 3
Sørreisa – 4
Sørreisa – 4

KML-Datei  | Interaktive Karte

map

Die Karte zeigt die Peilungen für den Meteor. Die helleren Linien zeigen die Richtungen von den Beobachtungsorten beim Erscheinen des Meteors, und die dunkleren Linien, wo er zuletzt gesehen wurde. Der blaue Pfeil zeigt die sichtbare Bahn des Meteors.

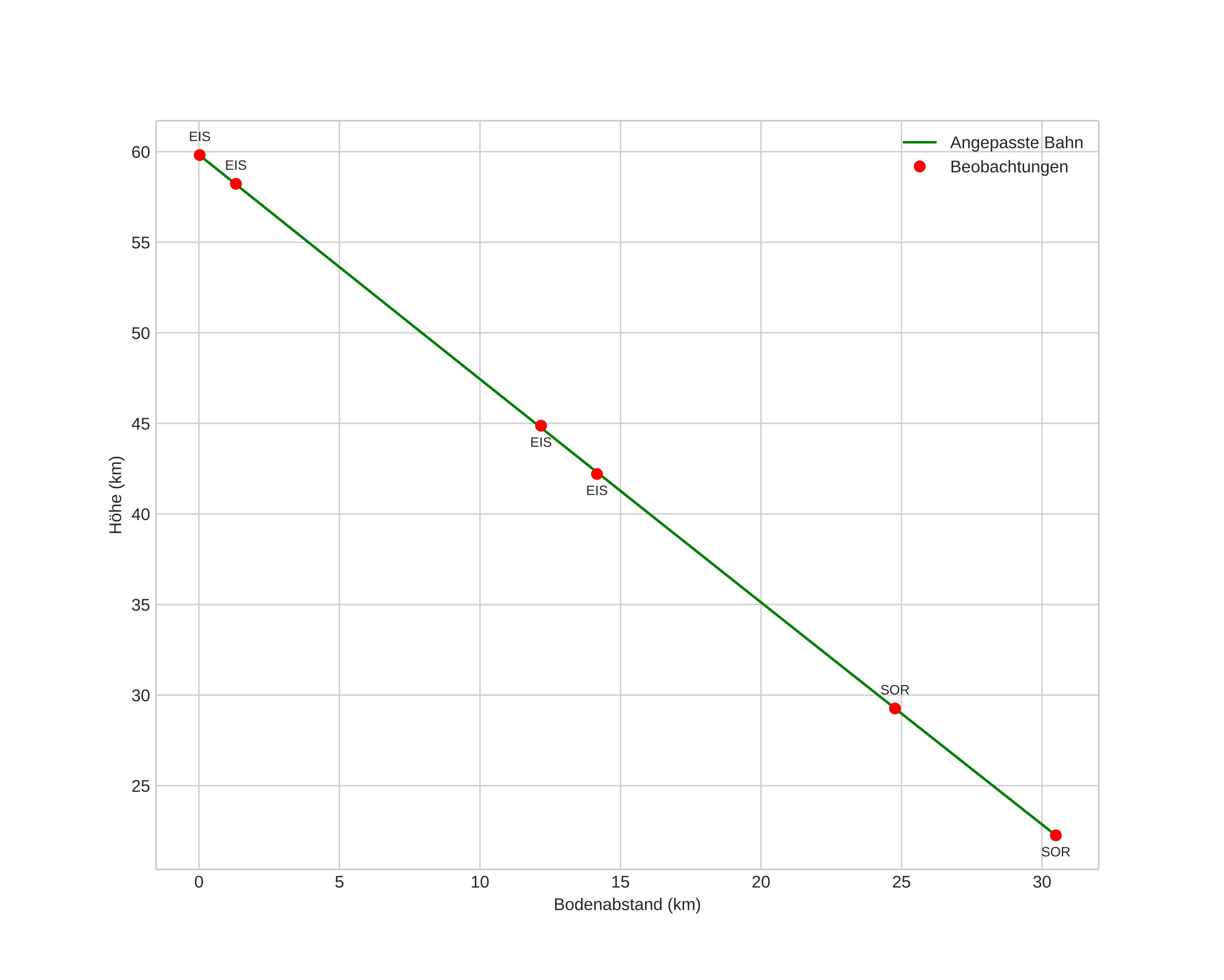
height profile
Atmosphärische Bahn des Meteors:
Anfangshöhe: 58,4 km
Endhöhe: 22,6 km
Startposition: 70,050N 17,971E
Endposition: 70,295N 18,396E
Richtung: 30,3°
Neigungswinkel: 48,6°
Eintrittsgeschwindigkeit: 21,3 km/s
Rektaszension des Radianten: 07:45 (116,4°)
Deklination des Radianten: 27,3°
Meteorstrom: sporadisch
Bahnelemente des Meteoroiden:
Periheldistanz: 0,296 AU
Exzentrizität: 0,629
Inklination: 5,2°
Länge des aufsteigenden Knotens: 262,5°
Argument des Perihels: 324,2°
Mittlere Anomalie: 281,7°
Epoche: 2023 DEC 15 02:37:28
orbit

Nicht-interaktives Diagramm | Interaktives Diagramm

position vs time
speed & acceleration