🇳🇴 🇬🇧 🇩🇪 🇨🇿 🇫🇮

Meteor, poloha: Myre 2023-12-15 02:52:10 UTC

Soubor KML  |  InteraktivnĂ­ mapa

Mapa zobrazuje dráhy meteoru. Světlejší čáry ukazují směry od pozorovacích stanic při objevení se meteoru a tmavší čáry, kde byl naposledy viděn. Modrá šipka značí viditelnou dráhu meteoru.

static map
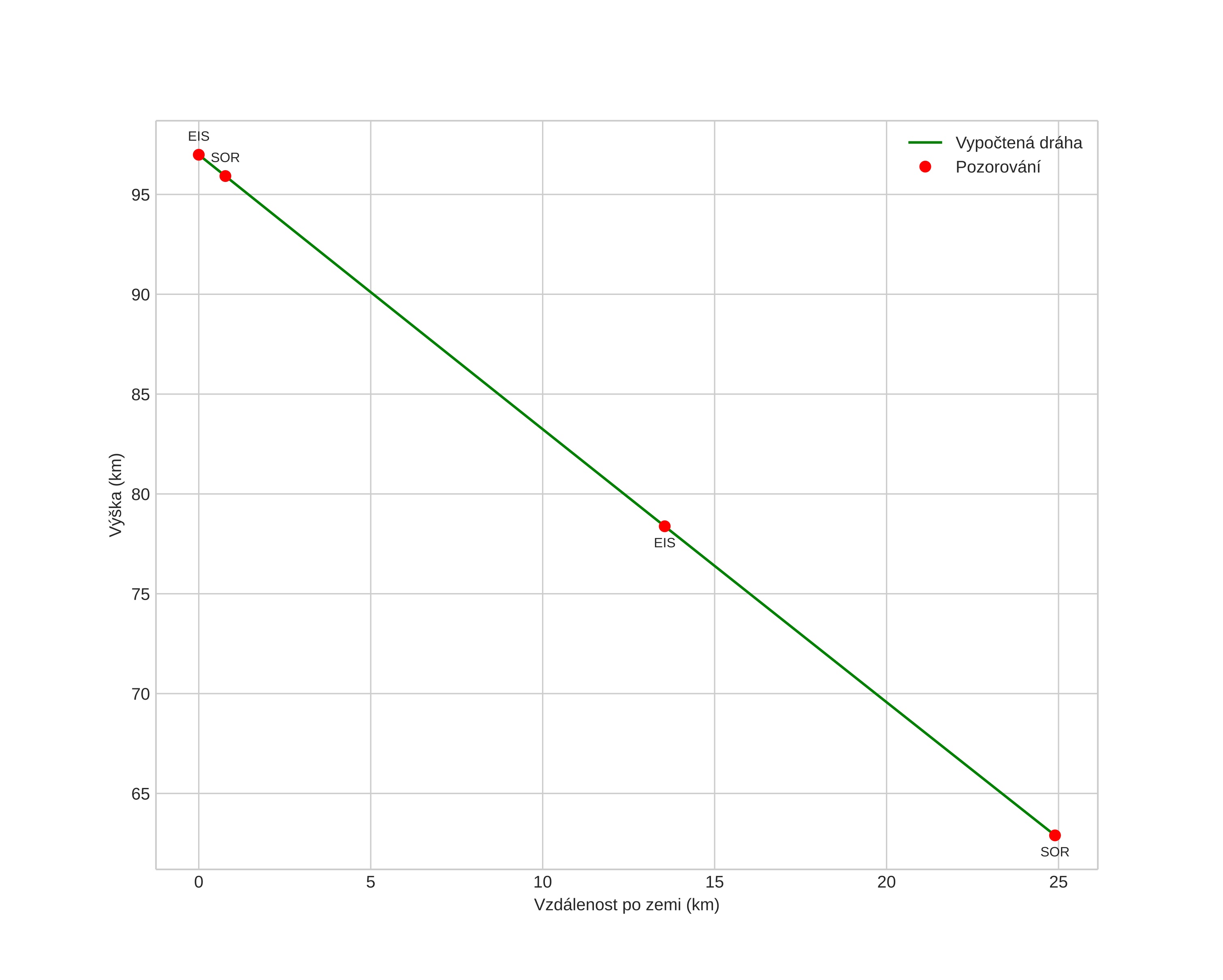
height profile
Atmosférická dráha meteoru:
Počáteční výška: 97,8 km
Konečná výška: 59,6 km
Počáteční poloha: 68,890N 14,387E
Konečná poloha: 69,099N 14,850E
Směr: 38,2°
Sklon: 52,1°
VstupnĂ­ rychlost: 38,3 km/s
Rektascenze radiantu: 07:30 (112,6°)
Deklinace radiantu: 33,3°
MeteorickĂ˝ roj: Geminidy
Elementy dráhy meteoroidu:
Vzdálenost v periheliu: 0,143 AU
Excentricita: 0,919
Sklon dráhy: 27,1°
Délka vzestupného uzlu: 262,5°
Argument perihelia: 321,7°
Střední anomálie: 345,0°
Epocha: 2023 DEC 15 02:52:10
orbit plot

NeinteraktivnĂ­ graf | InteraktivnĂ­ graf

position vs time
speed and acceleration