🇳🇴 🇬🇧 🇩🇪 🇨🇿 🇫🇮

Meteor Myren yllä 2023-12-15 02:52:10 UTC

KML-tiedosto  |  Interaktiivinen kartta

Kartta näyttää meteorin suuntahavainnot. Vaaleammat viivat näyttävät suunnat havaintoasemilta meteorin ilmestyessä, ja tummemmat viivat näyttävät, missä se viimeksi nähtiin. Sininen nuoli näyttää meteorin näkyvän lennon.

static map
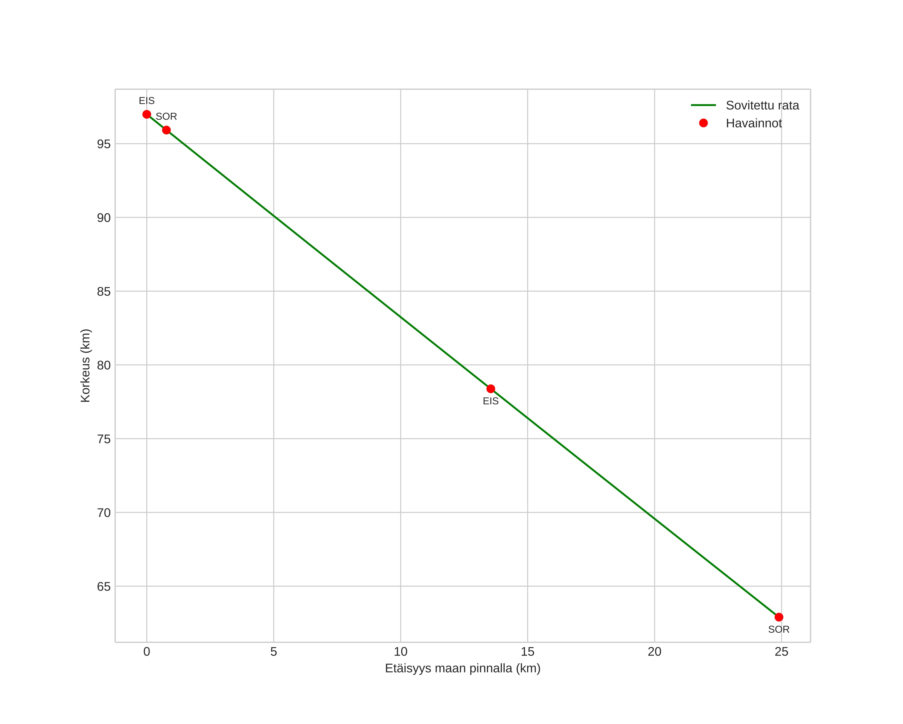
height profile
Meteorin ilmakehärata:
Alkukorkeus: 97,8 km
Loppukorkeus: 59,6 km
Alkupiste: 68,890N 14,387E
Loppupiste: 69,099N 14,850E
Suunta: 38,2°
Kallistuskulma: 52,1°
Tulonopeus: 38,3 km/s
Radiantin R,A,: 07:30 (112,6°)
Radiantin Dekl,: 33,3°
Meteoriparvi: Geminidit
Meteoroidin rataelementit:
Perihelietäisyys: 0,143 AU
Eksentrisyys: 0,919
Inklinaatio: 27,1°
Nousevan solmun pituus: 262,5°
Perihelin argumentti: 321,7°
Keskianomalia: 345,0°
Epookki: 2023 DEC 15 02:52:10
orbit plot

Ei-interaktiivinen kuvaaja | Interaktiivinen kuvaaja

position vs time
speed and acceleration