🇳🇴 🇬🇧 🇩🇪 🇨🇿 🇫🇮

Meteor, poloha: Olderdalen 2023-12-15 02:57:54 UTC

Soubor KML  |  InteraktivnĂ­ mapa

Mapa zobrazuje dráhy meteoru. Světlejší čáry ukazují směry od pozorovacích stanic při objevení se meteoru a tmavší čáry, kde byl naposledy viděn. Modrá šipka značí viditelnou dráhu meteoru.

static map
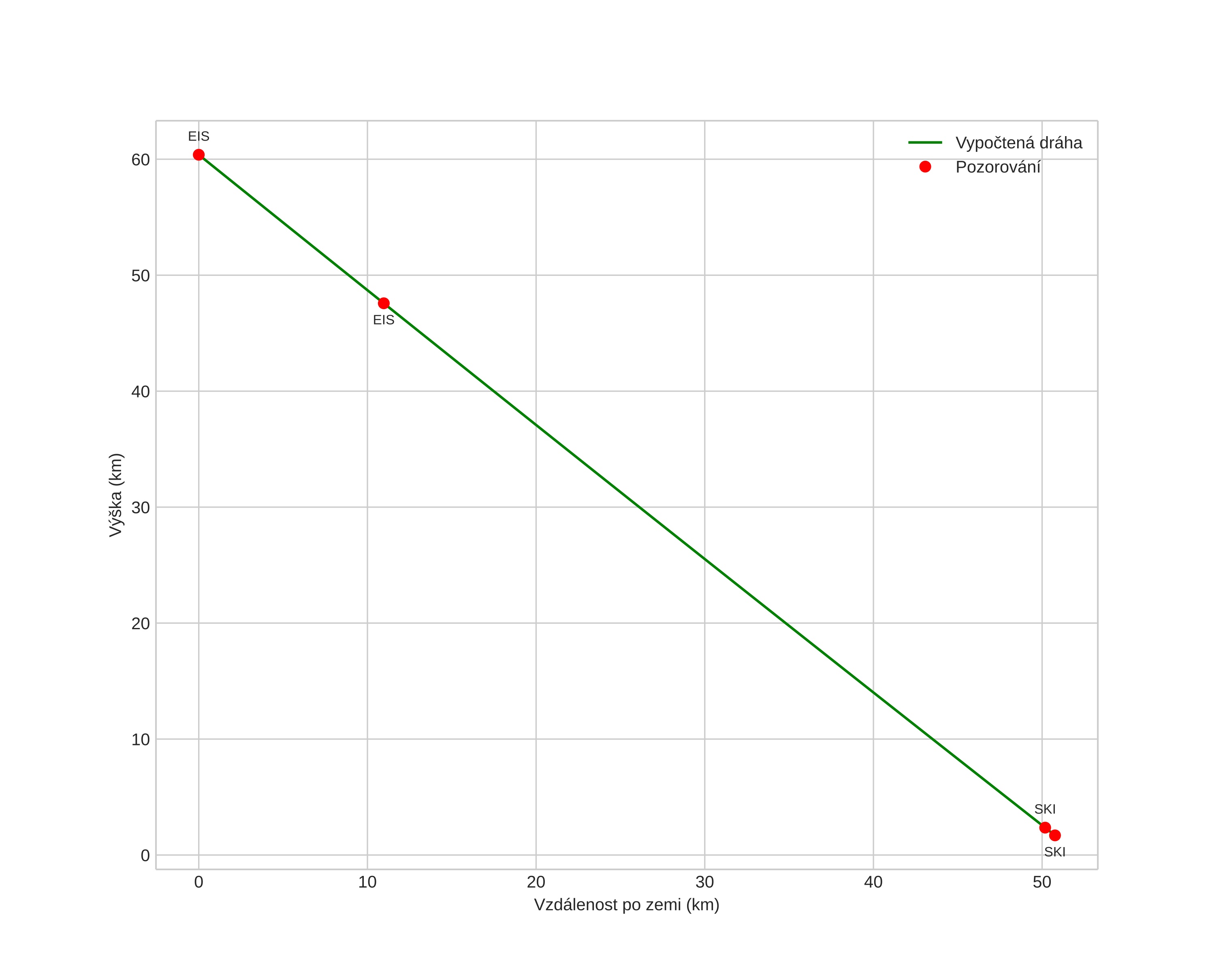
height profile
Atmosférická dráha meteoru:
Počáteční výška: 60,6 km
Konečná výška: 1,9 km
Počáteční poloha: 68,915N 19,595E
Konečná poloha: 69,234N 20,495E
Směr: 44,8°
Sklon: 49,3°
VstupnĂ­ rychlost: 24,6 km/s
Rektascenze radiantu: 07:31 (112,9°)
Deklinace radiantu: 30,4°
MeteorickĂ˝ roj: sporadickĂ˝
Elementy dráhy meteoroidu:
Vzdálenost v periheliu: 0,271 AU
Excentricita: 0,695
Sklon dráhy: 9,1°
Délka vzestupného uzlu: 262,5°
Argument perihelia: 320,1°
Střední anomálie: 300,4°
Epocha: 2023 DEC 15 02:57:54
orbit plot

NeinteraktivnĂ­ graf | InteraktivnĂ­ graf

position vs time
speed and acceleration

Skibotn (SKI) cam2

gnomonic
Videa
• Původní
Obrázky
• Původní
Textové soubory
• Detekce
• Pozorování
• Souřadnice
• Chybová hlášení
• Protokol
Jasnost