🇳🇴 🇬🇧 🇩🇪 🇨🇿 🇫🇮

Meteor Olderdalenin yllä 2023-12-15 02:57:54 UTC

KML-tiedosto  |  Interaktiivinen kartta

Kartta näyttää meteorin suuntahavainnot. Vaaleammat viivat näyttävät suunnat havaintoasemilta meteorin ilmestyessä, ja tummemmat viivat näyttävät, missä se viimeksi nähtiin. Sininen nuoli näyttää meteorin näkyvän lennon.

static map
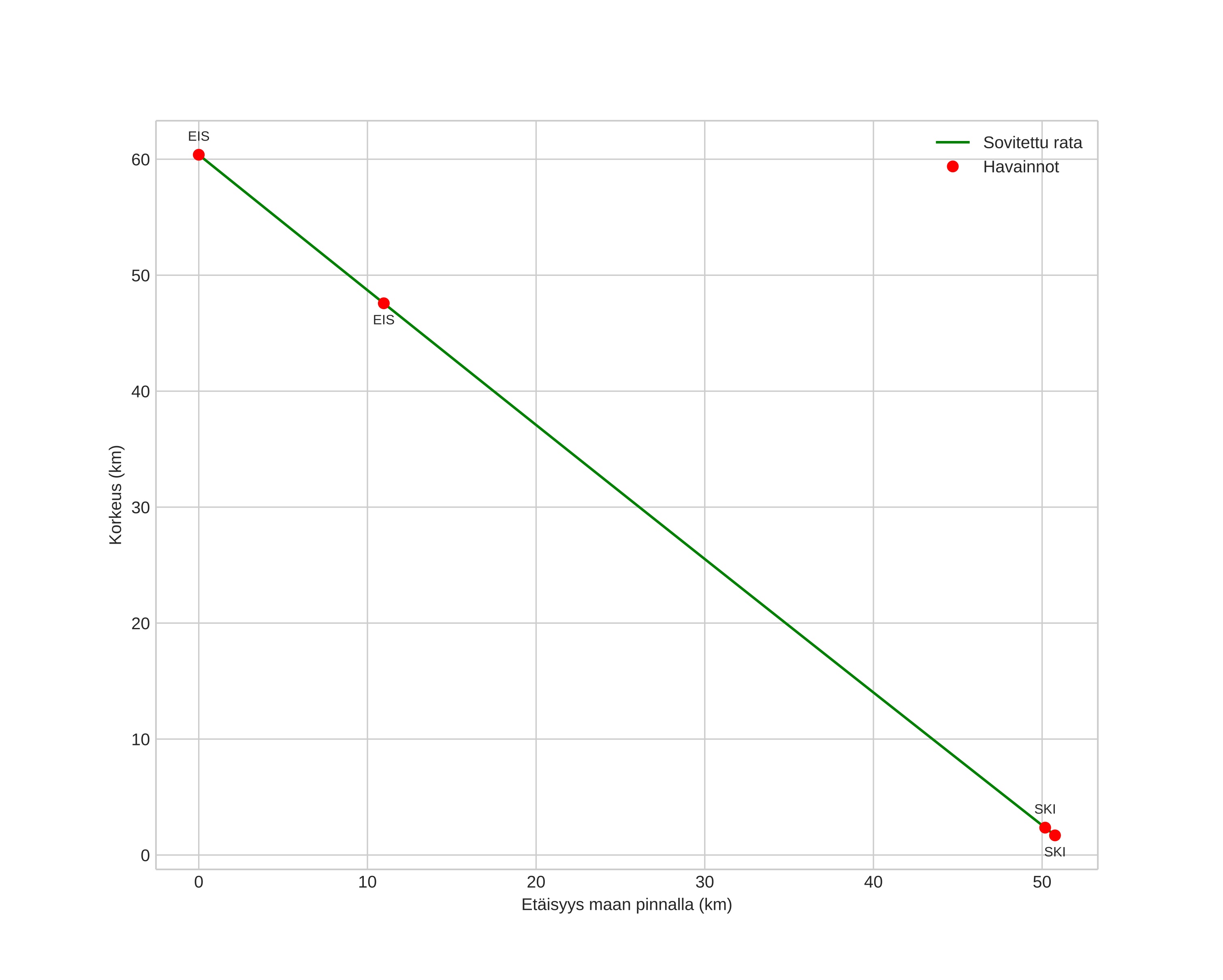
height profile
Meteorin ilmakehärata:
Alkukorkeus: 60,6 km
Loppukorkeus: 1,9 km
Alkupiste: 68,915N 19,595E
Loppupiste: 69,234N 20,495E
Suunta: 44,8°
Kallistuskulma: 49,3°
Tulonopeus: 24,6 km/s
Radiantin R,A,: 07:31 (112,9°)
Radiantin Dekl,: 30,4°
Meteoriparvi: Sporadinen
Meteoroidin rataelementit:
Perihelietäisyys: 0,271 AU
Eksentrisyys: 0,695
Inklinaatio: 9,1°
Nousevan solmun pituus: 262,5°
Perihelin argumentti: 320,1°
Keskianomalia: 300,4°
Epookki: 2023 DEC 15 02:57:54
orbit plot

Ei-interaktiivinen kuvaaja | Interaktiivinen kuvaaja

position vs time
speed and acceleration

Skibotn (SKI) cam2

gnomonic
Videot:
• Alkuperäinen
Kuvat:
• Alkuperäinen
Tekstitiedostot:
• Havaintoraportti
• Observaatio
• Koordinaatit
• Virheilmoitukset
• Loki
Kirkkaus