🇳🇴 🇬🇧 🇩🇪 🇨🇿 🇫🇮

Meteor, poloha: Myre 2023-12-15 03:10:15 UTC

Soubor KML  |  InteraktivnĂ­ mapa

Mapa zobrazuje dráhy meteoru. Světlejší čáry ukazují směry od pozorovacích stanic při objevení se meteoru a tmavší čáry, kde byl naposledy viděn. Modrá šipka značí viditelnou dráhu meteoru.

static map
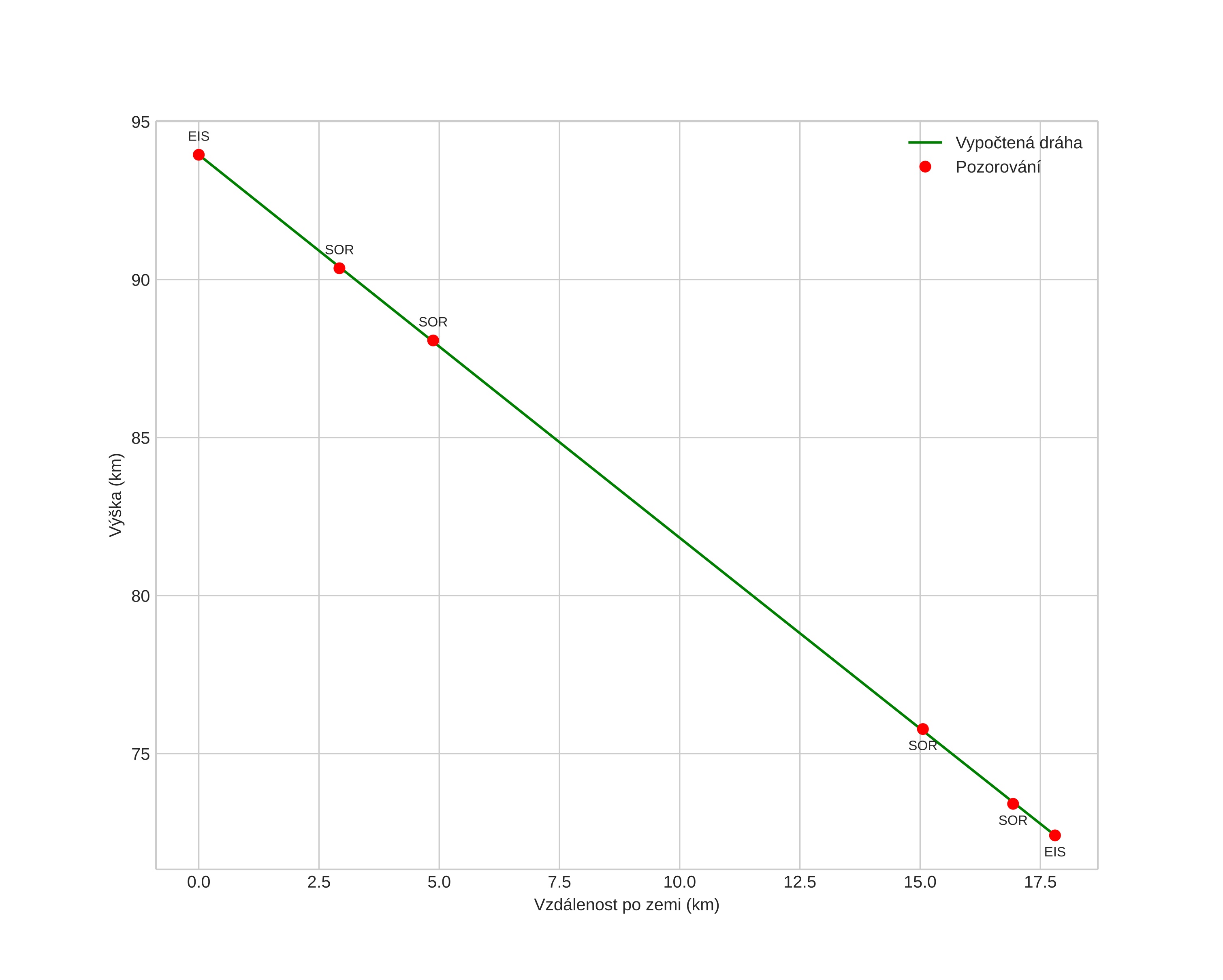
height profile
Atmosférická dráha meteoru:
Počáteční výška: 94,4 km
Konečná výška: 72,7 km
Počáteční poloha: 69,326N 15,366E
Konečná poloha: 69,447N 15,668E
Směr: 41,1°
Sklon: 50,5°
VstupnĂ­ rychlost: 35,6 km/s
Rektascenze radiantu: 07:41 (115,3°)
Deklinace radiantu: 32,4°
MeteorickĂ˝ roj: Geminidy
Elementy dráhy meteoroidu:
Vzdálenost v periheliu: 0,139 AU
Excentricita: 0,890
Sklon dráhy: 24,4°
Délka vzestupného uzlu: 262,5°
Argument perihelia: 325,5°
Střední anomálie: 333,8°
Epocha: 2023 DEC 15 03:10:15
orbit plot

NeinteraktivnĂ­ graf | InteraktivnĂ­ graf

position vs time
speed and acceleration