🇳🇴 🇬🇧 🇩🇪 🇨🇿 🇫🇮

Meteor Myren yllä 2023-12-15 03:10:15 UTC

KML-tiedosto  |  Interaktiivinen kartta

Kartta näyttää meteorin suuntahavainnot. Vaaleammat viivat näyttävät suunnat havaintoasemilta meteorin ilmestyessä, ja tummemmat viivat näyttävät, missä se viimeksi nähtiin. Sininen nuoli näyttää meteorin näkyvän lennon.

static map
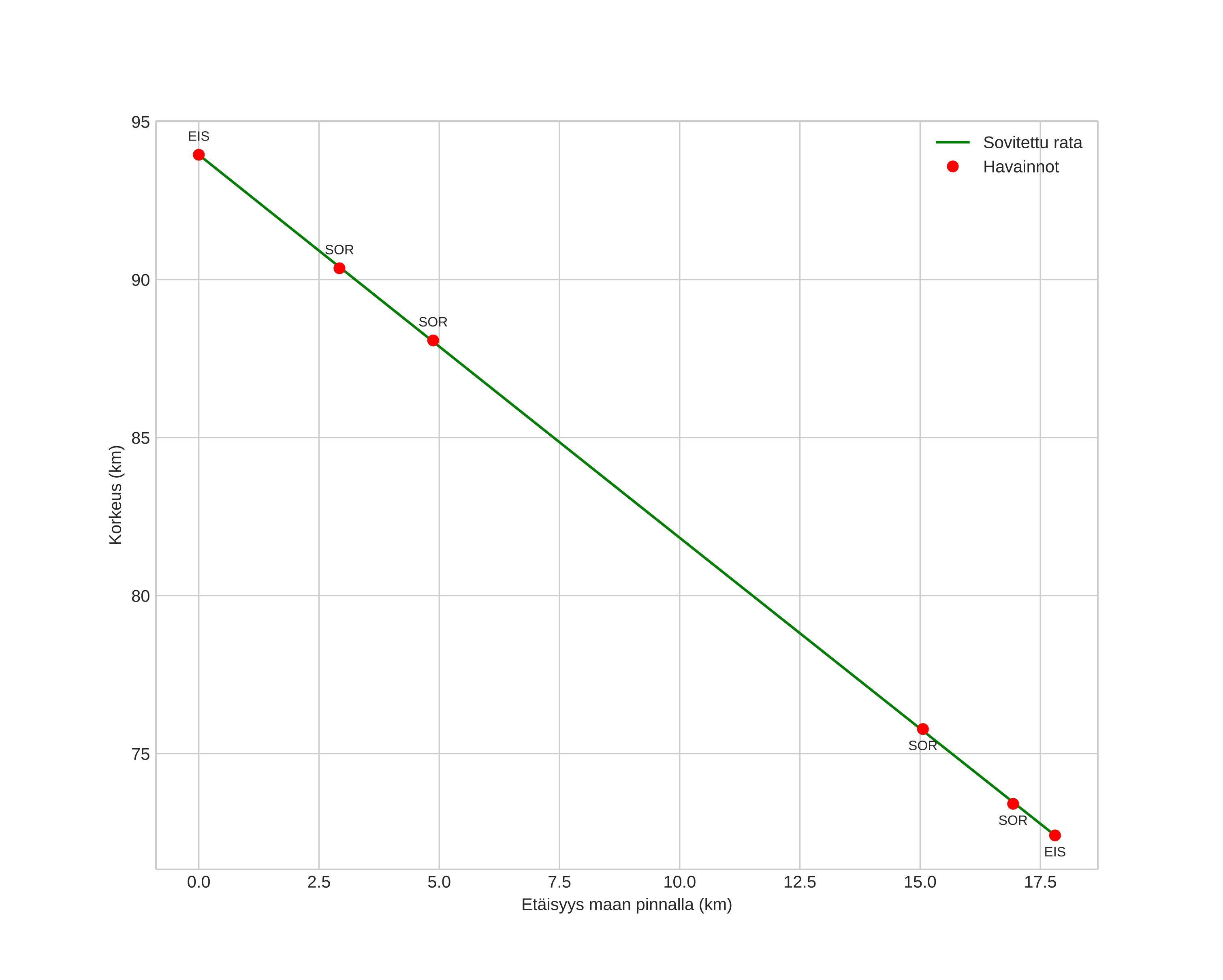
height profile
Meteorin ilmakehärata:
Alkukorkeus: 94,4 km
Loppukorkeus: 72,7 km
Alkupiste: 69,326N 15,366E
Loppupiste: 69,447N 15,668E
Suunta: 41,1°
Kallistuskulma: 50,5°
Tulonopeus: 35,6 km/s
Radiantin R,A,: 07:41 (115,3°)
Radiantin Dekl,: 32,4°
Meteoriparvi: Geminidit
Meteoroidin rataelementit:
Perihelietäisyys: 0,139 AU
Eksentrisyys: 0,890
Inklinaatio: 24,4°
Nousevan solmun pituus: 262,5°
Perihelin argumentti: 325,5°
Keskianomalia: 333,8°
Epookki: 2023 DEC 15 03:10:15
orbit plot

Ei-interaktiivinen kuvaaja | Interaktiivinen kuvaaja

position vs time
speed and acceleration