🇳🇴 🇬🇧 🇩🇪 🇨🇿 🇫🇮

Meteor, poloha: Arjeplog 2023-12-15 03:10:38 UTC

Eiscat – 1
Eiscat – 1
Skibotn – 3
Skibotn – 3
Sørreisa – 1
Sørreisa – 1

Soubor KML  | Interaktivní mapa

map

Mapa zobrazuje dráhy meteoru. Světlejší čáry ukazují směry od pozorovacích stanic při objevení se meteoru a tmavší čáry, kde byl naposledy viděn. Modrá šipka značí viditelnou dráhu meteoru.

height profile
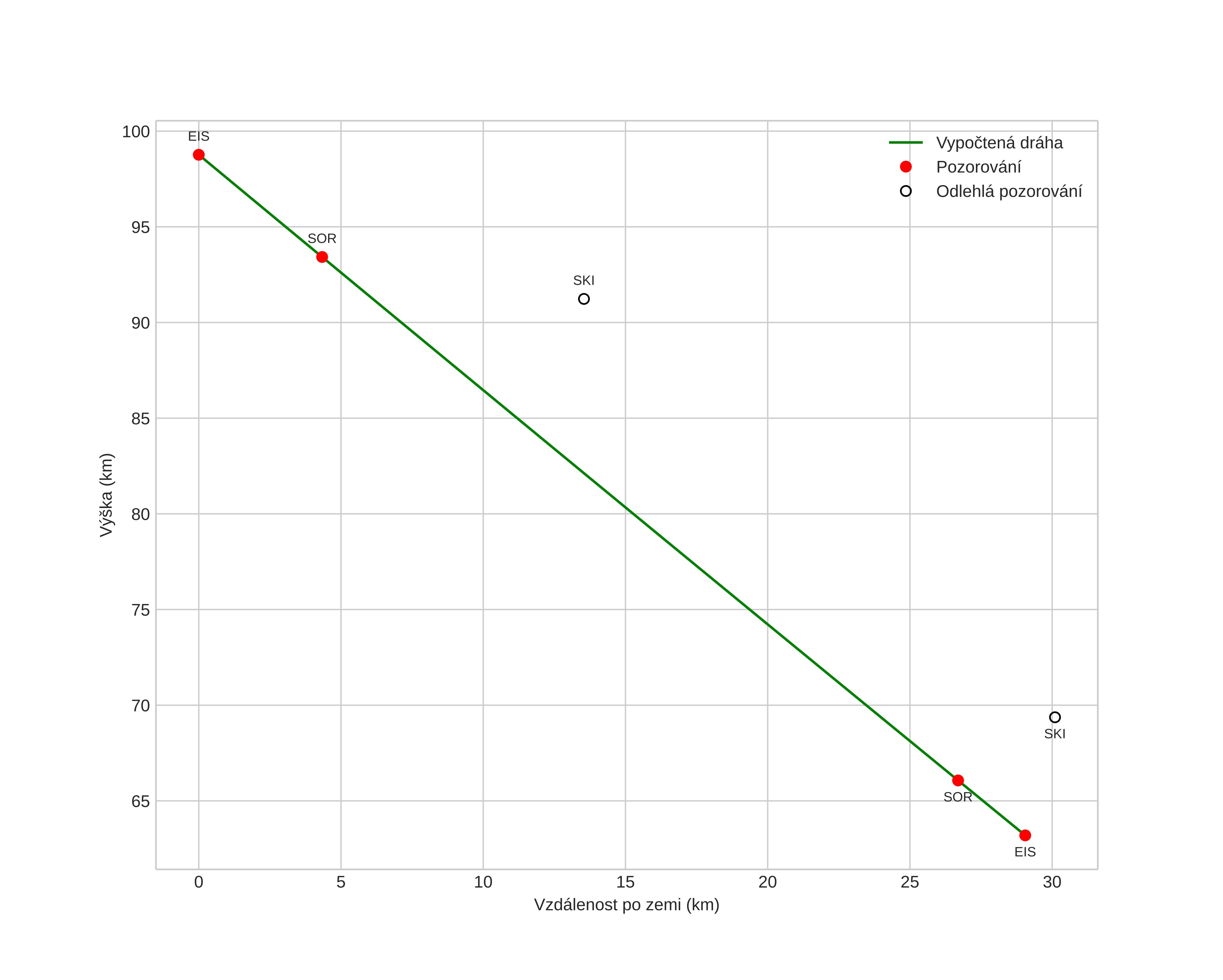
Atmosférická dráha meteoru:
Počáteční výška: 99,6 km
Konečná výška: 62,6 km
Počáteční poloha: 67,058N 17,456E
Konečná poloha: 67,277N 17,963E
Směr: 41,8°
Sklon: 48,5°
Vstupní rychlost: 43,0 km/s
Rektascenze radiantu: 07:48 (117,1°)
Deklinace radiantu: 29,0°
Meteorický roj: sporadický
Elementy dráhy meteoroidu:
Vzdálenost v periheliu: 0,062 AU
Excentricita: 0,970
Sklon dráhy: 32,5°
Délka vzestupného uzlu: 262,5°
Argument perihelia: 334,7°
Střední anomálie: 349,3°
Epocha: 2023 DEC 15 03:10:38
orbit

Neinteraktivní graf | Interaktivní graf

position vs time
speed & acceleration