🇳🇴 🇬🇧 🇩🇪 🇨🇿 🇫🇮

Meteor über Arjeplog 2023-12-15 03:10:38 UTC

Eiscat – 1
Eiscat – 1
Skibotn – 3
Skibotn – 3
Sørreisa – 1
Sørreisa – 1

KML-Datei  | Interaktive Karte

map

Die Karte zeigt die Peilungen für den Meteor. Die helleren Linien zeigen die Richtungen von den Beobachtungsorten beim Erscheinen des Meteors, und die dunkleren Linien, wo er zuletzt gesehen wurde. Der blaue Pfeil zeigt die sichtbare Bahn des Meteors.

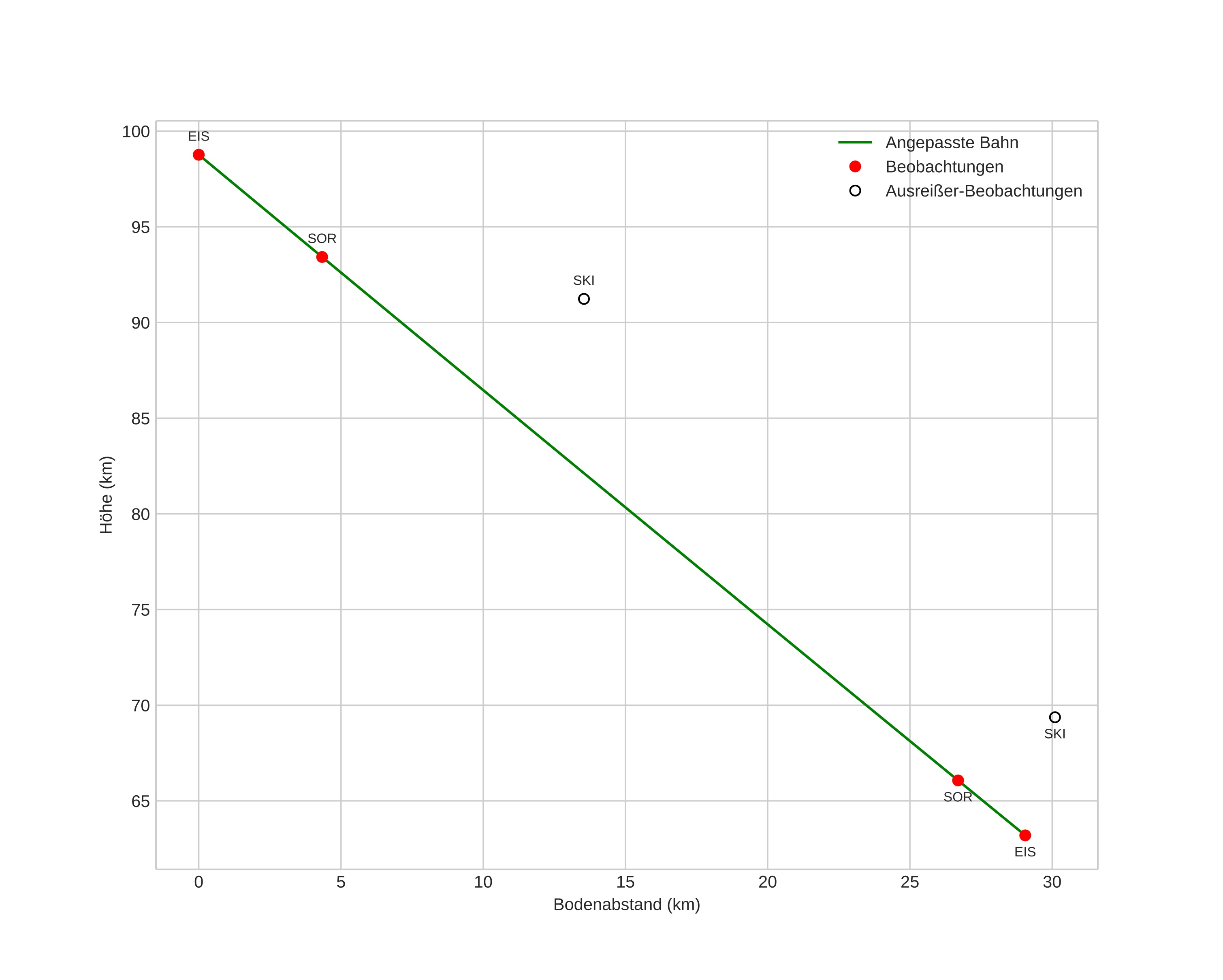
height profile
Atmosphärische Bahn des Meteors:
Anfangshöhe: 99,6 km
Endhöhe: 62,6 km
Startposition: 67,058N 17,456E
Endposition: 67,277N 17,963E
Richtung: 41,8°
Neigungswinkel: 48,5°
Eintrittsgeschwindigkeit: 43,0 km/s
Rektaszension des Radianten: 07:48 (117,1°)
Deklination des Radianten: 29,0°
Meteorstrom: sporadisch
Bahnelemente des Meteoroiden:
Periheldistanz: 0,062 AU
Exzentrizität: 0,970
Inklination: 32,5°
Länge des aufsteigenden Knotens: 262,5°
Argument des Perihels: 334,7°
Mittlere Anomalie: 349,3°
Epoche: 2023 DEC 15 03:10:38
orbit

Nicht-interaktives Diagramm | Interaktives Diagramm

position vs time
speed & acceleration