🇳🇴 🇬🇧 🇩🇪 🇨🇿 🇫🇮

Meteor, poloha: Andenes 2023-12-15 03:53:32 UTC

Soubor KML  |  InteraktivnĂ­ mapa

Mapa zobrazuje dráhy meteoru. Světlejší čáry ukazují směry od pozorovacích stanic při objevení se meteoru a tmavší čáry, kde byl naposledy viděn. Modrá šipka značí viditelnou dráhu meteoru.

static map
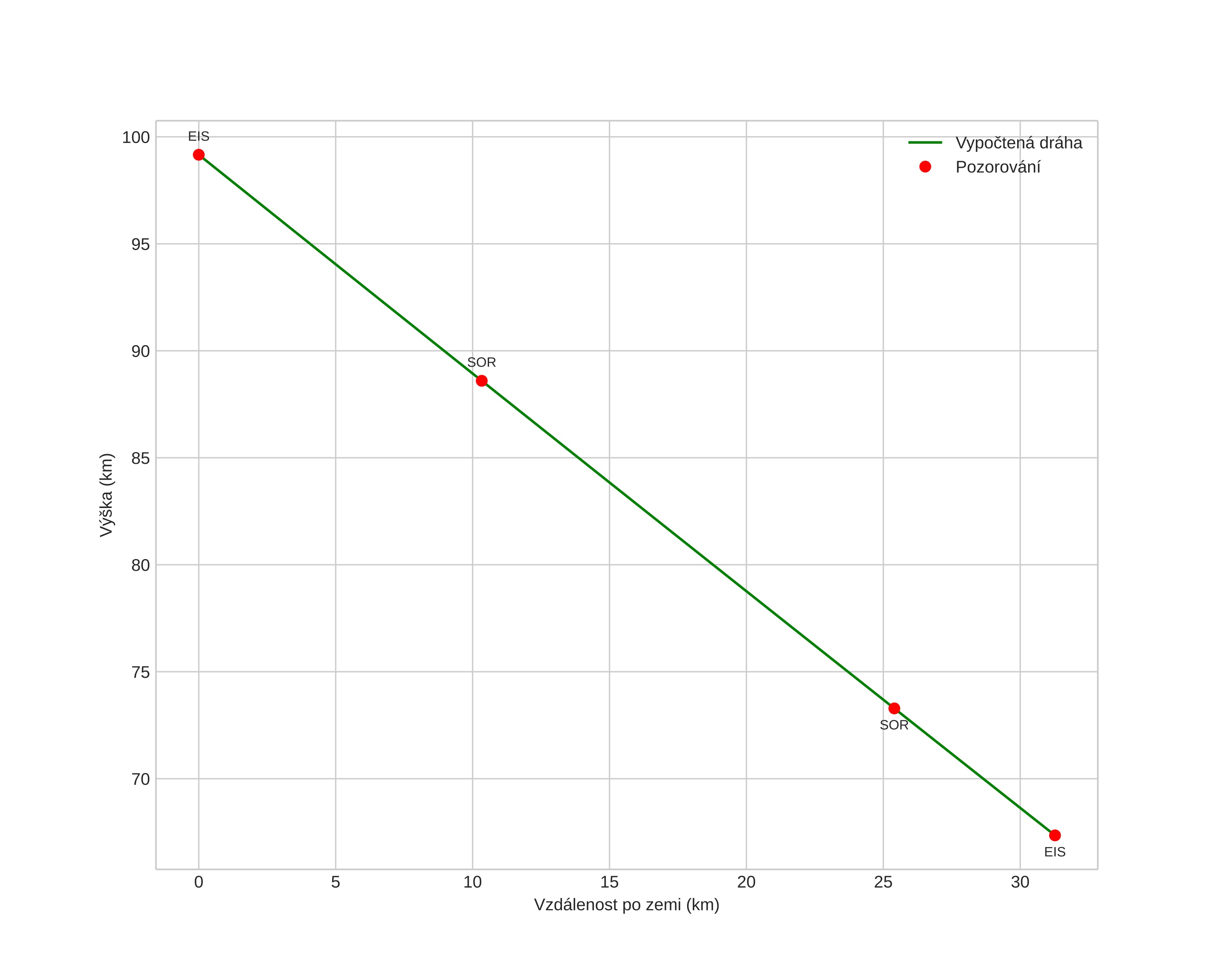
height profile
Atmosférická dráha meteoru:
Počáteční výška: 99,6 km
Konečná výška: 66,4 km
Počáteční poloha: 70,345N 15,511E
Konečná poloha: 70,514N 16,188E
Směr: 53,0°
Sklon: 46,5°
VstupnĂ­ rychlost: 37,4 km/s
Rektascenze radiantu: 07:42 (115,6°)
Deklinace radiantu: 31,9°
MeteorickĂ˝ roj: Geminidy
Elementy dráhy meteoroidu:
Vzdálenost v periheliu: 0,121 AU
Excentricita: 0,914
Sklon dráhy: 26,4°
Délka vzestupného uzlu: 262,6°
Argument perihelia: 326,9°
Střední anomálie: 338,4°
Epocha: 2023 DEC 15 03:53:32
orbit plot

NeinteraktivnĂ­ graf | InteraktivnĂ­ graf

position vs time
speed and acceleration