🇳🇴 🇬🇧 🇩🇪 🇨🇿 🇫🇮

Meteor Andenesin yllä 2023-12-15 03:53:32 UTC

KML-tiedosto  |  Interaktiivinen kartta

Kartta näyttää meteorin suuntahavainnot. Vaaleammat viivat näyttävät suunnat havaintoasemilta meteorin ilmestyessä, ja tummemmat viivat näyttävät, missä se viimeksi nähtiin. Sininen nuoli näyttää meteorin näkyvän lennon.

static map
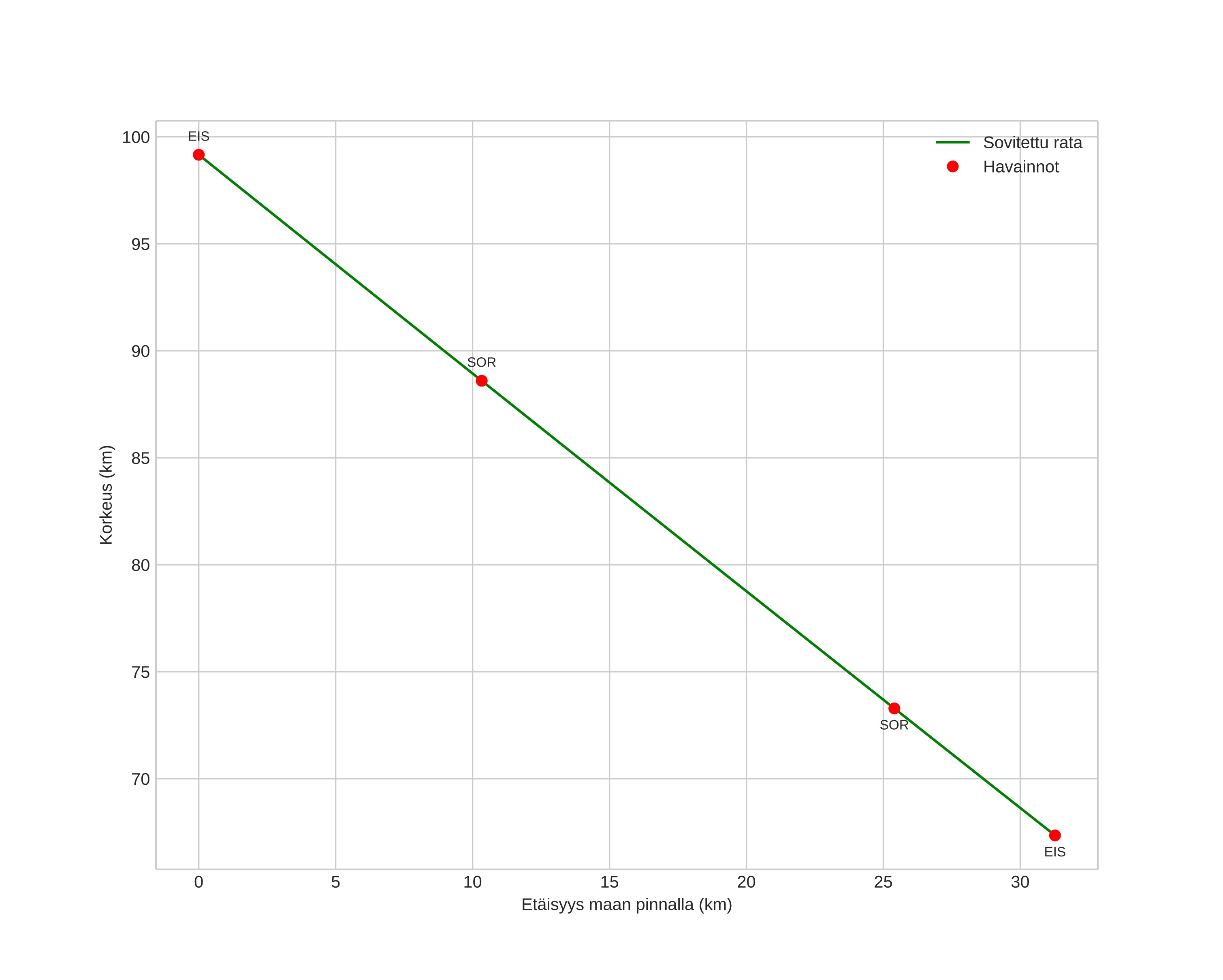
height profile
Meteorin ilmakehärata:
Alkukorkeus: 99,6 km
Loppukorkeus: 66,4 km
Alkupiste: 70,345N 15,511E
Loppupiste: 70,514N 16,188E
Suunta: 53,0°
Kallistuskulma: 46,5°
Tulonopeus: 37,4 km/s
Radiantin R,A,: 07:42 (115,6°)
Radiantin Dekl,: 31,9°
Meteoriparvi: Geminidit
Meteoroidin rataelementit:
Perihelietäisyys: 0,121 AU
Eksentrisyys: 0,914
Inklinaatio: 26,4°
Nousevan solmun pituus: 262,6°
Perihelin argumentti: 326,9°
Keskianomalia: 338,4°
Epookki: 2023 DEC 15 03:53:32
orbit plot

Ei-interaktiivinen kuvaaja | Interaktiivinen kuvaaja

position vs time
speed and acceleration