🇳🇴 🇬🇧 🇩🇪 🇨🇿 🇫🇮

Meteor, poloha: Hansnes 2023-12-15 04:30:34 UTC

Soubor KML  |  InteraktivnĂ­ mapa

Mapa zobrazuje dráhy meteoru. Světlejší čáry ukazují směry od pozorovacích stanic při objevení se meteoru a tmavší čáry, kde byl naposledy viděn. Modrá šipka značí viditelnou dráhu meteoru.

static map
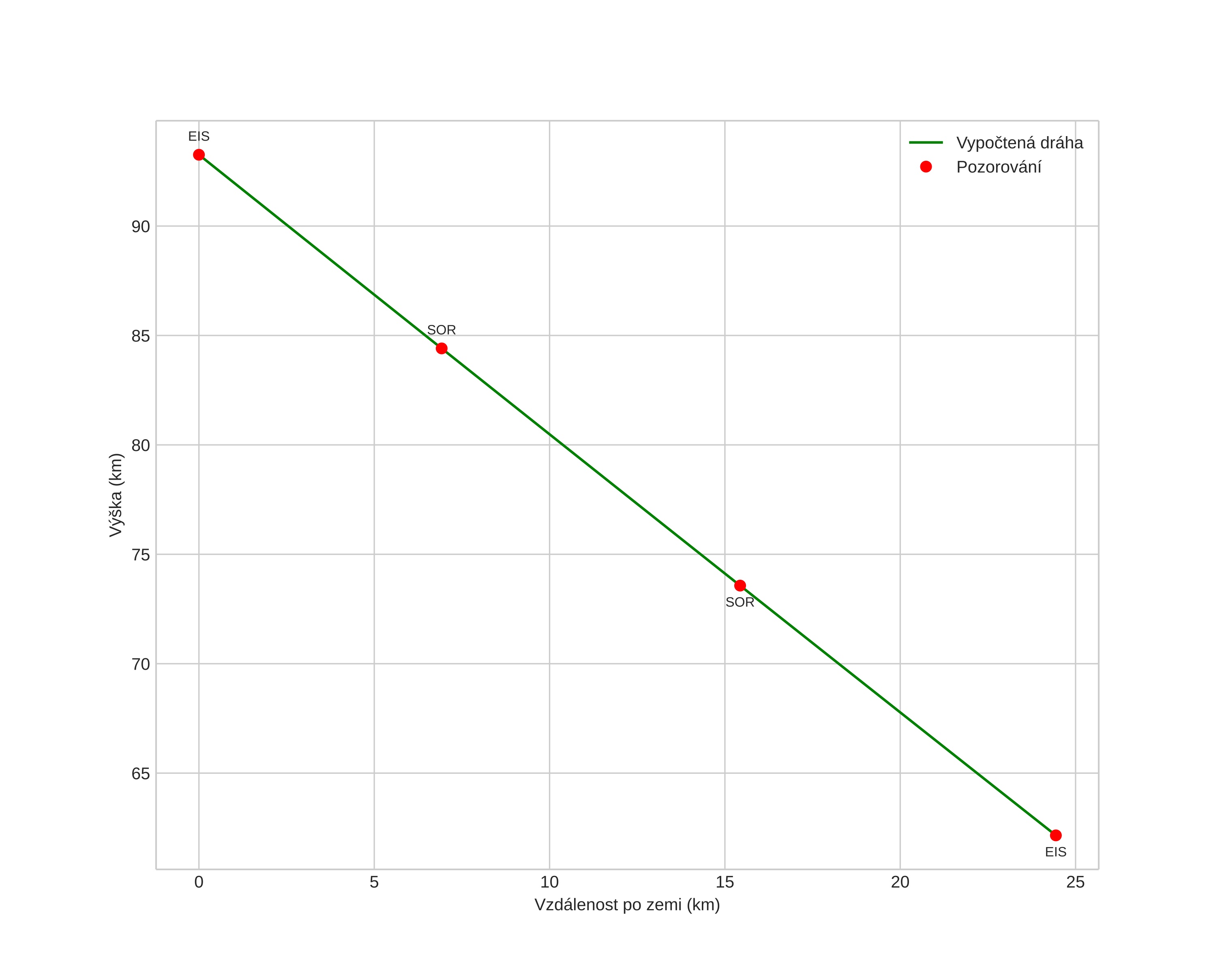
height profile
Atmosférická dráha meteoru:
Počáteční výška: 94,2 km
Konečná výška: 64,5 km
Počáteční poloha: 71,040N 19,272E
Konečná poloha: 71,071N 19,978E
Směr: 82,0°
Sklon: 49,1°
VstupnĂ­ rychlost: 33,6 km/s
Rektascenze radiantu: 07:05 (106,3°)
Deklinace radiantu: 42,0°
MeteorickĂ˝ roj: sporadickĂ˝
Elementy dráhy meteoroidu:
Vzdálenost v periheliu: 0,301 AU
Excentricita: 0,834
Sklon dráhy: 27,9°
Délka vzestupného uzlu: 262,6°
Argument perihelia: 301,8°
Střední anomálie: 343,2°
Epocha: 2023 DEC 15 04:30:34
orbit plot

NeinteraktivnĂ­ graf | InteraktivnĂ­ graf

position vs time
speed and acceleration