🇳🇴 🇬🇧 🇩🇪 🇨🇿 🇫🇮

Meteor Hansnesin yllä 2023-12-15 04:30:34 UTC

KML-tiedosto  |  Interaktiivinen kartta

Kartta näyttää meteorin suuntahavainnot. Vaaleammat viivat näyttävät suunnat havaintoasemilta meteorin ilmestyessä, ja tummemmat viivat näyttävät, missä se viimeksi nähtiin. Sininen nuoli näyttää meteorin näkyvän lennon.

static map
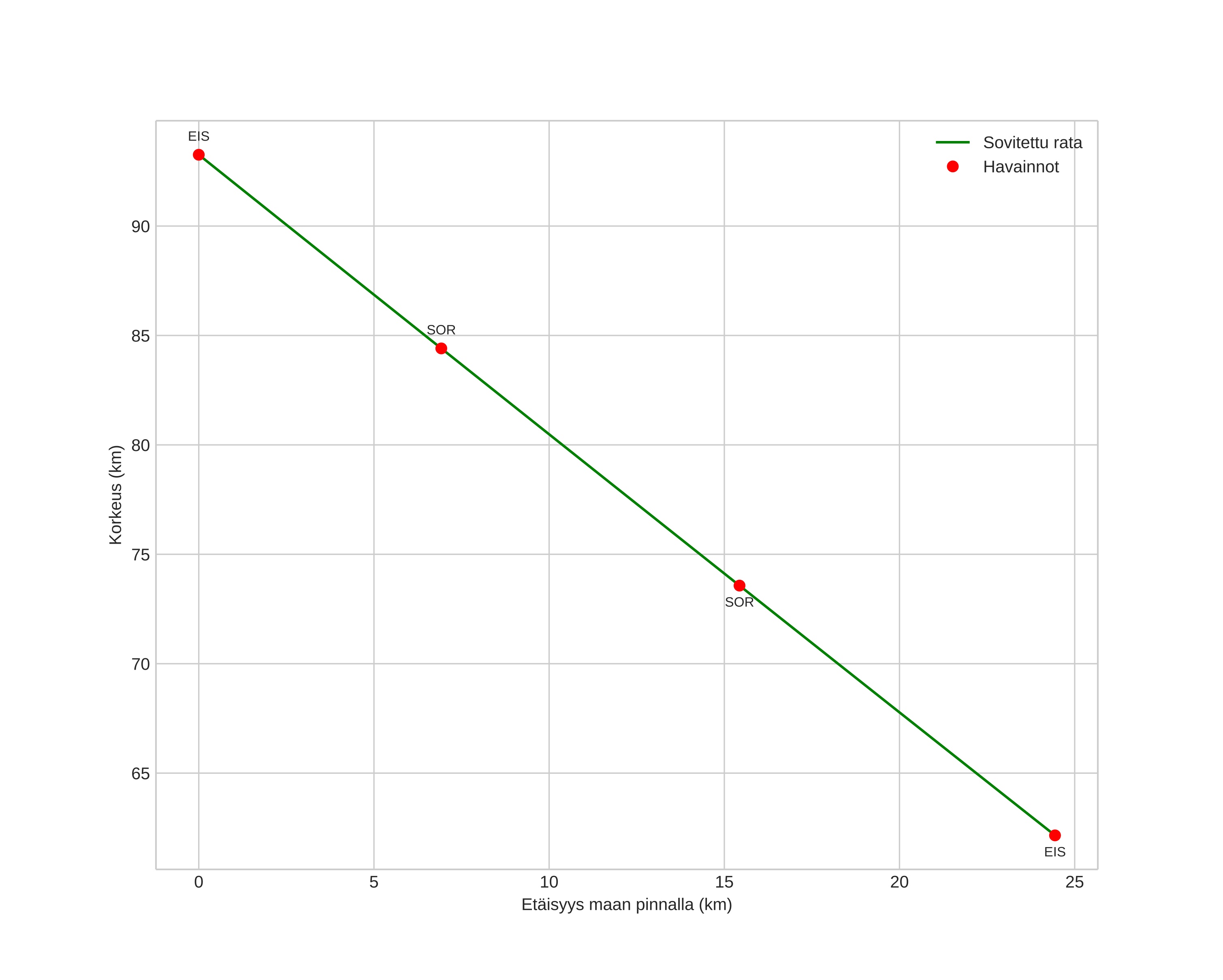
height profile
Meteorin ilmakehärata:
Alkukorkeus: 94,2 km
Loppukorkeus: 64,5 km
Alkupiste: 71,040N 19,272E
Loppupiste: 71,071N 19,978E
Suunta: 82,0°
Kallistuskulma: 49,1°
Tulonopeus: 33,6 km/s
Radiantin R,A,: 07:05 (106,3°)
Radiantin Dekl,: 42,0°
Meteoriparvi: Sporadinen
Meteoroidin rataelementit:
Perihelietäisyys: 0,301 AU
Eksentrisyys: 0,834
Inklinaatio: 27,9°
Nousevan solmun pituus: 262,6°
Perihelin argumentti: 301,8°
Keskianomalia: 343,2°
Epookki: 2023 DEC 15 04:30:34
orbit plot

Ei-interaktiivinen kuvaaja | Interaktiivinen kuvaaja

position vs time
speed and acceleration