🇳🇴 🇬🇧 🇩🇪 🇨🇿 🇫🇮

Meteor, poloha: Brøstadbotn 2023-12-15 04:32:54 UTC

Soubor KML  |  InteraktivnĂ­ mapa

Mapa zobrazuje dráhy meteoru. Světlejší čáry ukazují směry od pozorovacích stanic při objevení se meteoru a tmavší čáry, kde byl naposledy viděn. Modrá šipka značí viditelnou dráhu meteoru.

static map
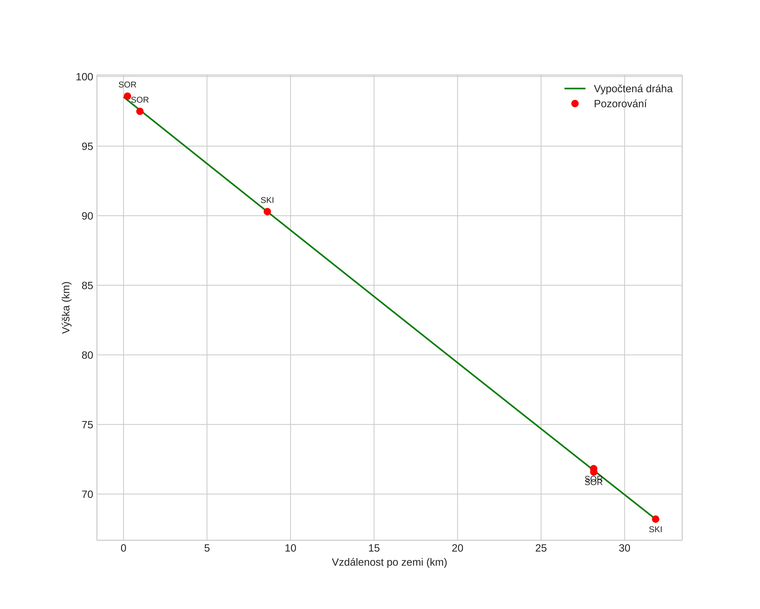
height profile
Atmosférická dráha meteoru:
Počáteční výška: 96,8 km
Konečná výška: 68,9 km
Počáteční poloha: 69,095N 16,884E
Konečná poloha: 69,190N 17,562E
Směr: 68,3°
Sklon: 44,0°
VstupnĂ­ rychlost: 38,0 km/s
Rektascenze radiantu: 07:36 (114,2°)
Deklinace radiantu: 32,6°
MeteorickĂ˝ roj: Geminidy
Elementy dráhy meteoroidu:
Vzdálenost v periheliu: 0,130 AU
Excentricita: 0,917
Sklon dráhy: 27,0°
Délka vzestupného uzlu: 262,6°
Argument perihelia: 324,5°
Střední anomálie: 342,0°
Epocha: 2023 DEC 15 04:32:54
orbit plot

NeinteraktivnĂ­ graf | InteraktivnĂ­ graf

position vs time
speed and acceleration