🇳🇴 🇬🇧 🇩🇪 🇨🇿 🇫🇮

Meteor Brøstadbotnin yllä 2023-12-15 04:32:54 UTC

KML-tiedosto  |  Interaktiivinen kartta

Kartta näyttää meteorin suuntahavainnot. Vaaleammat viivat näyttävät suunnat havaintoasemilta meteorin ilmestyessä, ja tummemmat viivat näyttävät, missä se viimeksi nähtiin. Sininen nuoli näyttää meteorin näkyvän lennon.

static map
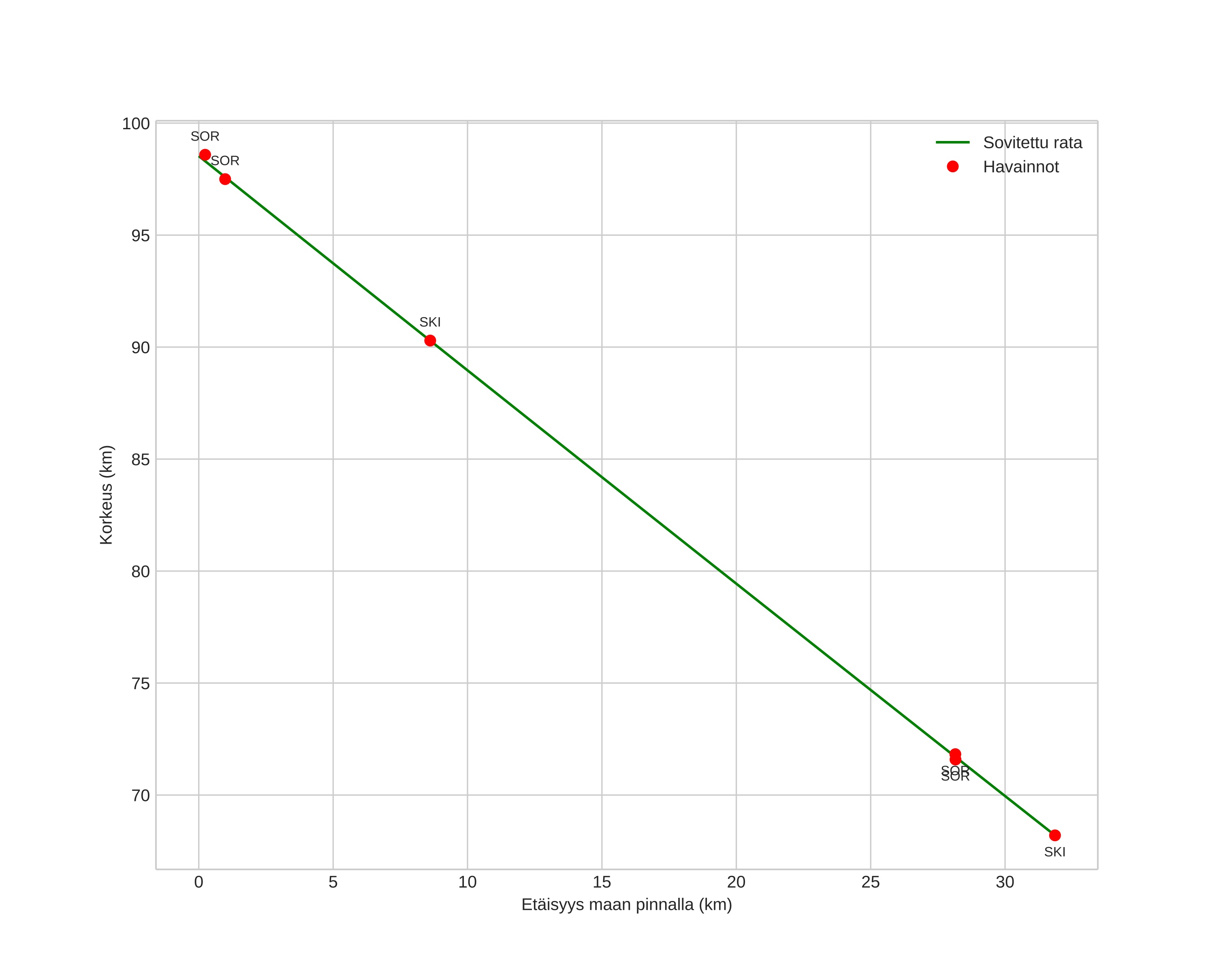
height profile
Meteorin ilmakehärata:
Alkukorkeus: 96,8 km
Loppukorkeus: 68,9 km
Alkupiste: 69,095N 16,884E
Loppupiste: 69,190N 17,562E
Suunta: 68,3°
Kallistuskulma: 44,0°
Tulonopeus: 38,0 km/s
Radiantin R,A,: 07:36 (114,2°)
Radiantin Dekl,: 32,6°
Meteoriparvi: Geminidit
Meteoroidin rataelementit:
Perihelietäisyys: 0,130 AU
Eksentrisyys: 0,917
Inklinaatio: 27,0°
Nousevan solmun pituus: 262,6°
Perihelin argumentti: 324,5°
Keskianomalia: 342,0°
Epookki: 2023 DEC 15 04:32:54
orbit plot

Ei-interaktiivinen kuvaaja | Interaktiivinen kuvaaja

position vs time
speed and acceleration