🇳🇴 🇬🇧 🇩🇪 🇨🇿 🇫🇮

Meteor, poloha: Enontekiö 2023-12-15 04:43:09 UTC

Soubor KML  |  InteraktivnĂ­ mapa

Mapa zobrazuje dráhy meteoru. Světlejší čáry ukazují směry od pozorovacích stanic při objevení se meteoru a tmavší čáry, kde byl naposledy viděn. Modrá šipka značí viditelnou dráhu meteoru.

static map
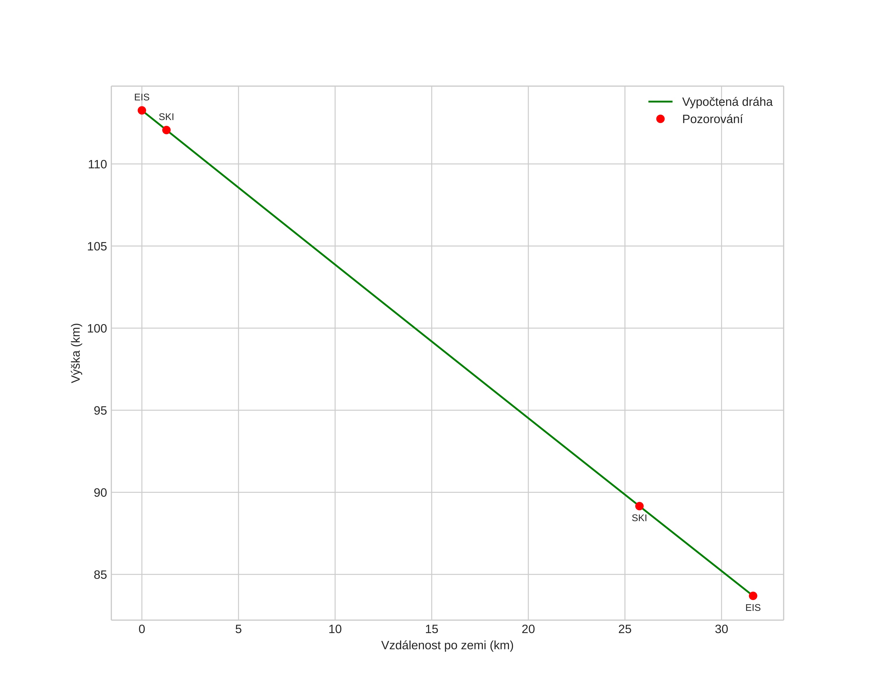
height profile
Atmosférická dráha meteoru:
Počáteční výška: 117,7 km
Konečná výška: 87,2 km
Počáteční poloha: 68,458N 22,646E
Konečná poloha: 68,523N 23,431E
Směr: 76,8°
Sklon: 42,9°
VstupnĂ­ rychlost: 43,9 km/s
Rektascenze radiantu: 07:42 (115,7°)
Deklinace radiantu: 34,1°
MeteorickĂ˝ roj: sporadickĂ˝
Elementy dráhy meteoroidu:
Vzdálenost v periheliu: 0,104 AU
Excentricita: 0,967
Sklon dráhy: 42,3°
Délka vzestupného uzlu: 262,6°
Argument perihelia: 324,9°
Střední anomálie: 354,4°
Epocha: 2023 DEC 15 04:43:09
orbit plot

NeinteraktivnĂ­ graf | InteraktivnĂ­ graf

position vs time
speed and acceleration