🇳🇴 🇬🇧 🇩🇪 🇨🇿 🇫🇮

Meteor Enontekiöin yllä 2023-12-15 04:43:09 UTC

KML-tiedosto  |  Interaktiivinen kartta

Kartta näyttää meteorin suuntahavainnot. Vaaleammat viivat näyttävät suunnat havaintoasemilta meteorin ilmestyessä, ja tummemmat viivat näyttävät, missä se viimeksi nähtiin. Sininen nuoli näyttää meteorin näkyvän lennon.

static map
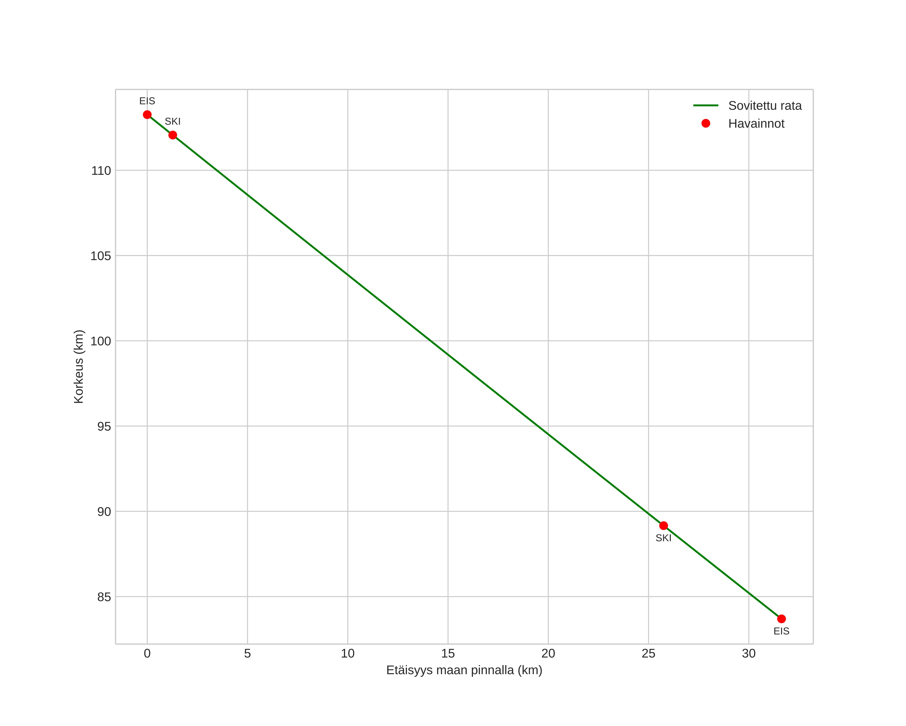
height profile
Meteorin ilmakehärata:
Alkukorkeus: 117,7 km
Loppukorkeus: 87,2 km
Alkupiste: 68,458N 22,646E
Loppupiste: 68,523N 23,431E
Suunta: 76,8°
Kallistuskulma: 42,9°
Tulonopeus: 43,9 km/s
Radiantin R,A,: 07:42 (115,7°)
Radiantin Dekl,: 34,1°
Meteoriparvi: Sporadinen
Meteoroidin rataelementit:
Perihelietäisyys: 0,104 AU
Eksentrisyys: 0,967
Inklinaatio: 42,3°
Nousevan solmun pituus: 262,6°
Perihelin argumentti: 324,9°
Keskianomalia: 354,4°
Epookki: 2023 DEC 15 04:43:09
orbit plot

Ei-interaktiivinen kuvaaja | Interaktiivinen kuvaaja

position vs time
speed and acceleration