🇳🇴 🇬🇧 🇩🇪 🇨🇿 🇫🇮

Meteor, poloha: Narvik 2023-12-15 05:13:30 UTC

Soubor KML  |  InteraktivnĂ­ mapa

Mapa zobrazuje dráhy meteoru. Světlejší čáry ukazují směry od pozorovacích stanic při objevení se meteoru a tmavší čáry, kde byl naposledy viděn. Modrá šipka značí viditelnou dráhu meteoru.

static map
height profile
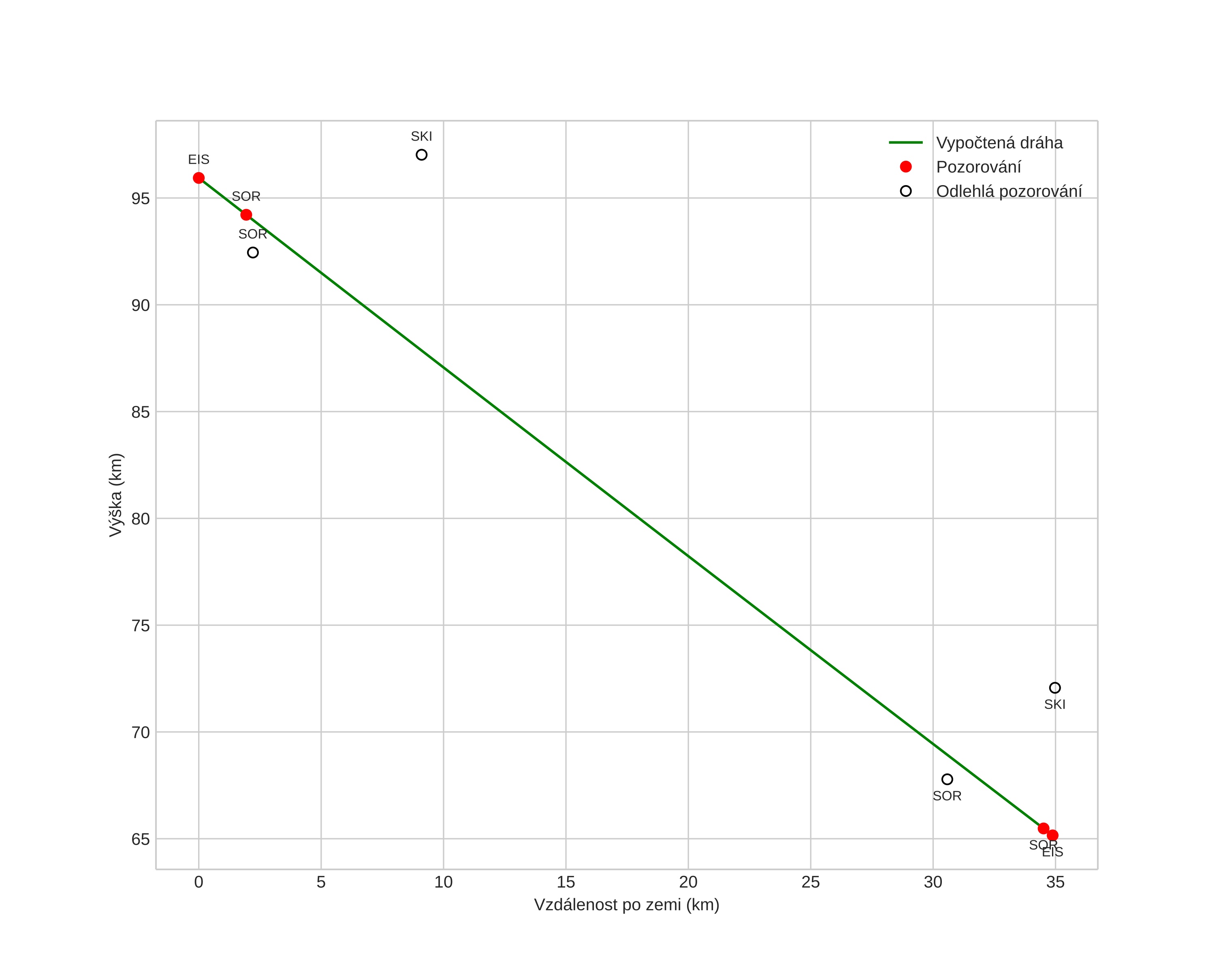
Atmosférická dráha meteoru:
Počáteční výška: 96,2 km
Konečná výška: 65,2 km
Počáteční poloha: 68,503N 16,529E
Konečná poloha: 68,568N 17,373E
Směr: 77,8°
Sklon: 41,5°
VstupnĂ­ rychlost: 35,2 km/s
Rektascenze radiantu: 07:41 (115,3°)
Deklinace radiantu: 32,6°
MeteorickĂ˝ roj: Geminidy
Elementy dráhy meteoroidu:
Vzdálenost v periheliu: 0,143 AU
Excentricita: 0,885
Sklon dráhy: 24,1°
Délka vzestupného uzlu: 262,6°
Argument perihelia: 325,2°
Střední anomálie: 332,9°
Epocha: 2023 DEC 15 05:13:30
orbit plot

NeinteraktivnĂ­ graf | InteraktivnĂ­ graf

position vs time
speed and acceleration