🇳🇴 🇬🇧 🇩🇪 🇨🇿 🇫🇮

Meteor Narvikin yllä 2023-12-15 05:13:30 UTC

KML-tiedosto  |  Interaktiivinen kartta

Kartta näyttää meteorin suuntahavainnot. Vaaleammat viivat näyttävät suunnat havaintoasemilta meteorin ilmestyessä, ja tummemmat viivat näyttävät, missä se viimeksi nähtiin. Sininen nuoli näyttää meteorin näkyvän lennon.

static map
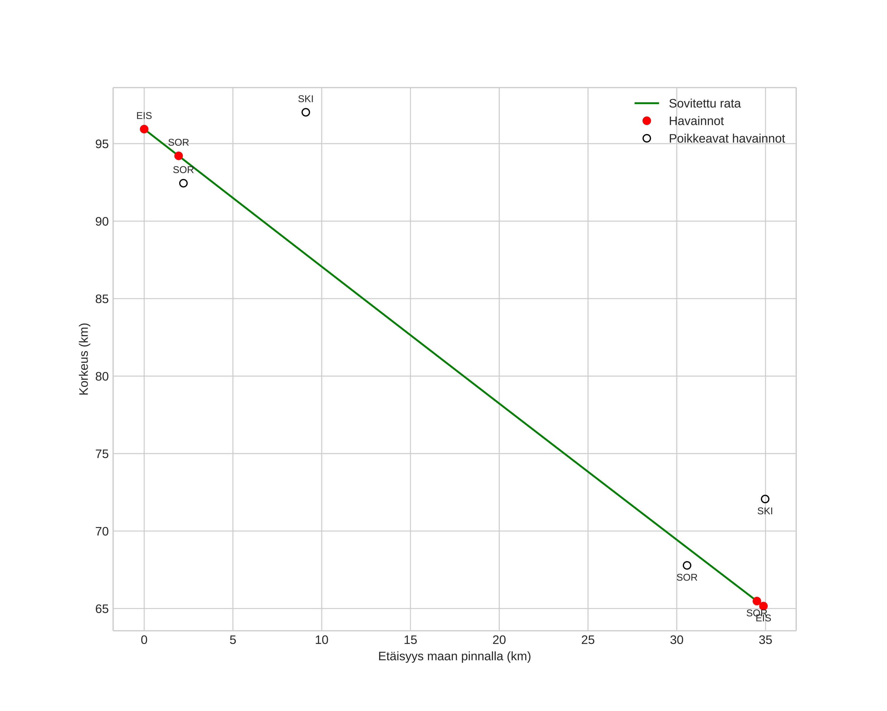
height profile
Meteorin ilmakehärata:
Alkukorkeus: 96,2 km
Loppukorkeus: 65,2 km
Alkupiste: 68,503N 16,529E
Loppupiste: 68,568N 17,373E
Suunta: 77,8°
Kallistuskulma: 41,5°
Tulonopeus: 35,2 km/s
Radiantin R,A,: 07:41 (115,3°)
Radiantin Dekl,: 32,6°
Meteoriparvi: Geminidit
Meteoroidin rataelementit:
Perihelietäisyys: 0,143 AU
Eksentrisyys: 0,885
Inklinaatio: 24,1°
Nousevan solmun pituus: 262,6°
Perihelin argumentti: 325,2°
Keskianomalia: 332,9°
Epookki: 2023 DEC 15 05:13:30
orbit plot

Ei-interaktiivinen kuvaaja | Interaktiivinen kuvaaja

position vs time
speed and acceleration