🇳🇴 🇬🇧 🇩🇪 🇨🇿 🇫🇮

Meteor, poloha: Sortland 2023-12-15 05:20:55 UTC

Soubor KML  |  InteraktivnĂ­ mapa

Mapa zobrazuje dráhy meteoru. Světlejší čáry ukazují směry od pozorovacích stanic při objevení se meteoru a tmavší čáry, kde byl naposledy viděn. Modrá šipka značí viditelnou dráhu meteoru.

static map
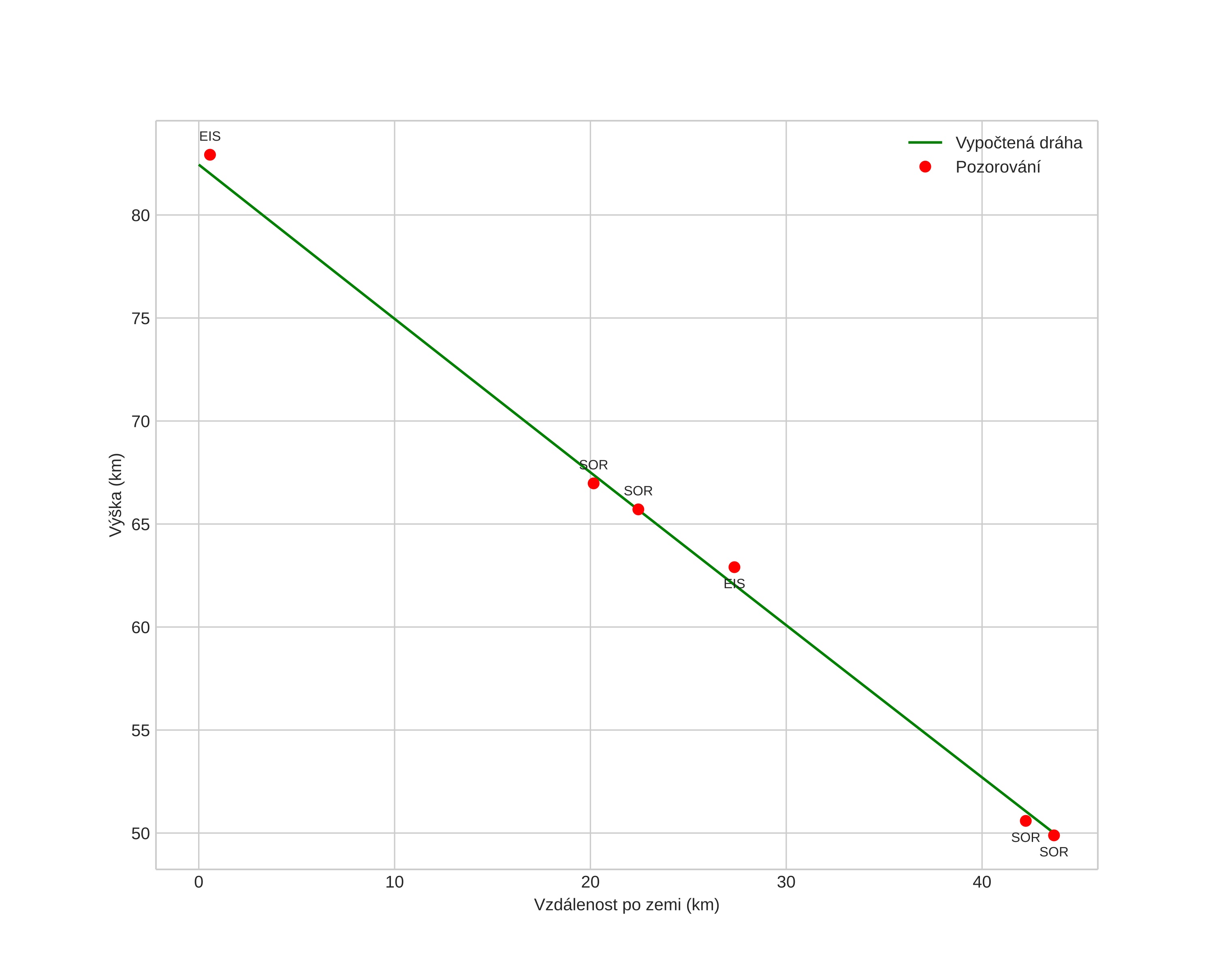
height profile
Atmosférická dráha meteoru:
Počáteční výška: 82,7 km
Konečná výška: 53,2 km
Počáteční poloha: 68,533N 14,851E
Konečná poloha: 68,624N 15,723E
Směr: 73,7°
Sklon: 38,7°
VstupnĂ­ rychlost: 34,4 km/s
Rektascenze radiantu: 07:49 (117,5°)
Deklinace radiantu: 28,7°
MeteorickĂ˝ roj: Geminidy
Elementy dráhy meteoroidu:
Vzdálenost v periheliu: 0,113 AU
Excentricita: 0,894
Sklon dráhy: 17,8°
Délka vzestupného uzlu: 262,6°
Argument perihelia: 331,1°
Střední anomálie: 326,1°
Epocha: 2023 DEC 15 05:20:55
orbit plot

NeinteraktivnĂ­ graf | InteraktivnĂ­ graf

position vs time
speed and acceleration