🇳🇴 🇬🇧 🇩🇪 🇨🇿 🇫🇮

Meteor Sortlandin yllä 2023-12-15 05:20:55 UTC

KML-tiedosto  |  Interaktiivinen kartta

Kartta näyttää meteorin suuntahavainnot. Vaaleammat viivat näyttävät suunnat havaintoasemilta meteorin ilmestyessä, ja tummemmat viivat näyttävät, missä se viimeksi nähtiin. Sininen nuoli näyttää meteorin näkyvän lennon.

static map
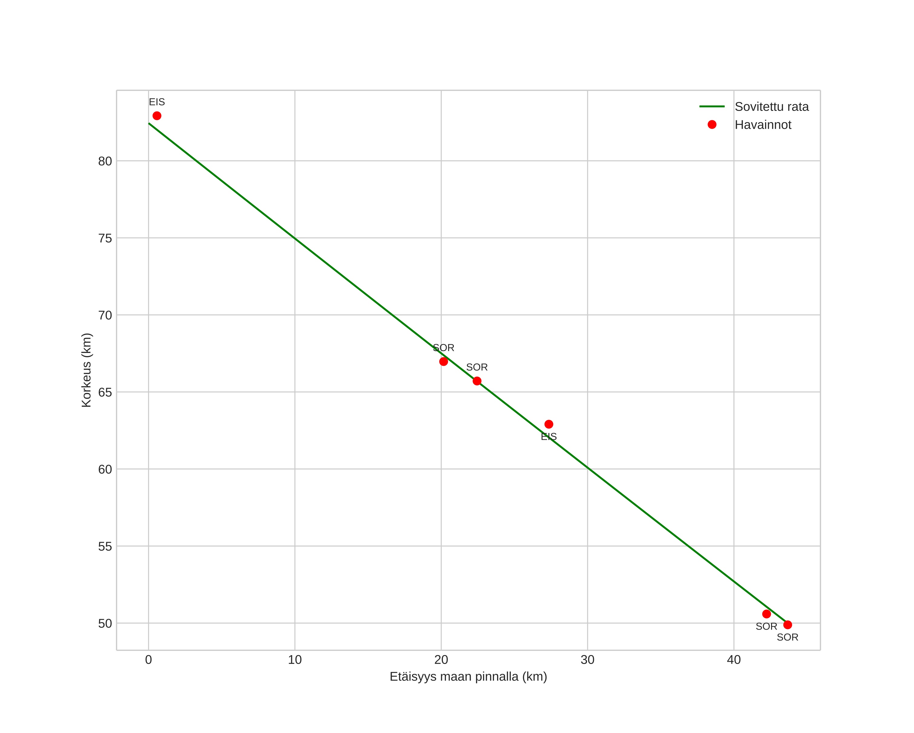
height profile
Meteorin ilmakehärata:
Alkukorkeus: 82,7 km
Loppukorkeus: 53,2 km
Alkupiste: 68,533N 14,851E
Loppupiste: 68,624N 15,723E
Suunta: 73,7°
Kallistuskulma: 38,7°
Tulonopeus: 34,4 km/s
Radiantin R,A,: 07:49 (117,5°)
Radiantin Dekl,: 28,7°
Meteoriparvi: Geminidit
Meteoroidin rataelementit:
Perihelietäisyys: 0,113 AU
Eksentrisyys: 0,894
Inklinaatio: 17,8°
Nousevan solmun pituus: 262,6°
Perihelin argumentti: 331,1°
Keskianomalia: 326,1°
Epookki: 2023 DEC 15 05:20:55
orbit plot

Ei-interaktiivinen kuvaaja | Interaktiivinen kuvaaja

position vs time
speed and acceleration